Помощь - Поиск - Пользователи - Календарь
Полная версия: Производная сложной функции > Дифференцирование (производные)
Образовательный студенческий форум > Высшая математика > Дифференцирование (производные)
_jt
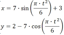
Помогите найти производную двух функций. Изображение я прикрепил к сообщению:

Нажмите для просмотра прикрепленного файла
_jt
Не обращайте на параметрическую запись, мне необходимо найти их поотдельности
граф Монте-Кристо
Что не получается?
_jt
получается, но хотелось бы проверить smile.gif
Нажмите для просмотра прикрепленного файла
граф Монте-Кристо
Всё правильно.
_jt
спасибо:)
Это текстовая версия — только основной контент. Для просмотра полной версии этой страницы, пожалуйста, нажмите сюда.
Русская версия Invision Power Board © 2001-2026 Invision Power Services, Inc.