Помощь - Поиск - Пользователи - Календарь
Полная версия: Найти потенциальную функцию двумя способами > Векторный анализ
Образовательный студенческий форум > Высшая математика > Векторный анализ
Danilka
a(M)=((x/y)+(3*(e^x)*(z^2))i+((y^2)*z-((x^2)/(2*(y^2)))j+(6*(e^x)*z+(z*(y^3)/3))k
Danilka
по начальным условиям вроде бы всё пересчитал и получилось что все сошлось , кроме : dQ/dz=dR/dy

d((y^2)*z-((x^2)/(2*(y^2)))/dz = d(6*(e^x)*z+(z*(y^3)/3))/dy

может всё таки я неумею брать интегралы совсем ..
Danilka
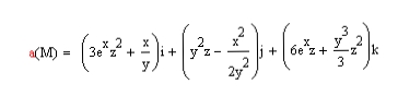
набрал пример в нормальном виде :

Нажмите для просмотра прикрепленного файла


подскажите пожалуйста как решать , если необходимые условия сходятся не до конца

эти два равенства у меня сошлись :

1) dP/dy=dQ/dx

-x/y^2 = -x/y^2

2) dP/dz=dR/dx

6*(e^x)*z = 6*(e^x)*z


а последнее не сходится никак :

3) dQ/dz=dR/dy

y^2 не равно z*y^2




у меня теплица единственная надежда , что я неправильно списал пример с листочка преподавателя, ну или, на крайний случай, снова не могу сделать элементарное действие дифференциирования..
newconfus.gif


решил все даже с такими условиями двумя способами, но в конечном итоге у меня почти ничего не сократилось, а должно .
Danilka
оказывается . если функция не потенциальна , то и решать дальше вообще не надо (с) капитан очевидность
tig81
smile.gif
Это текстовая версия — только основной контент. Для просмотра полной версии этой страницы, пожалуйста, нажмите сюда.
Русская версия Invision Power Board © 2001-2026 Invision Power Services, Inc.