Помощь - Поиск - Пользователи - Календарь
Полная версия: Пожалуйсто, помогите решить примеры > Интегралы
Образовательный студенческий форум > Высшая математика > Интегралы
LordOfSun
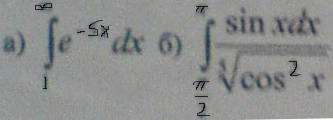
Люди, кто разбирается в высшей математике - помогите решить задания. Вот они : вычислить неопределенные интегралыНажмите для просмотра прикрепленного файла . Вычислить определенные интеграллы Нажмите для просмотра прикрепленного файла . Вычислить несобственные интегралы или установить их расхождение Нажмите для просмотра прикрепленного файла . Вычислить площадь фигуры ограниченной линиями у=9-х^2, y=0.Вот моё решение 1-го Нажмите для просмотра прикрепленного файла . Зарание спасибо!
граф Монте-Кристо
Неправильно,этот интеграл надо брать по частям.
Это текстовая версия — только основной контент. Для просмотра полной версии этой страницы, пожалуйста, нажмите сюда.
Русская версия Invision Power Board © 2001-2026 Invision Power Services, Inc.