Цитата(fizic @ 31.1.2010, 18:39)

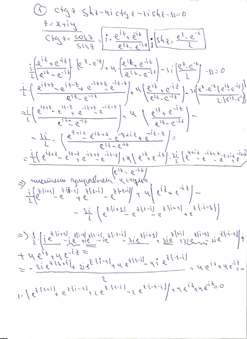
непонимаю как так получается.. ctg(z)=сh(z)/sh(z), ведь ctg=cos/sin как же тогда в этом случае преобразовать ctg(z)*sh(z)
Точно, не заметила, что котангенс круговой. Там точно не гиперболический?
ctgz=cosz/sinz. А в свою очередь sinz=(e^(iz)-e^(-iz))/(2i), cosz=(e^(iz)+e^(-iz))/2.
Или: sinz=-ishiz, cosz=chiz.