SUPERMANIBATMAN
Сообщение
#51200 19.1.2010, 18:21
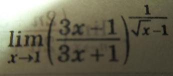
Нажмите для просмотра прикрепленного файла если можно,распишите пожалуйста подробней
Dimka
Сообщение
#51206 19.1.2010, 18:54
1) 0 при x->1 cправа и бесконечность при x->1 cлева
SUPERMANIBATMAN
Сообщение
#51224 19.1.2010, 21:27
spasibo
Это текстовая версия — только основной контент. Для просмотра полной версии этой страницы, пожалуйста,
нажмите сюда.