Помощь - Поиск - Пользователи - Календарь
Полная версия: определенный интеграл > Интегралы
Образовательный студенческий форум > Высшая математика > Интегралы
anders
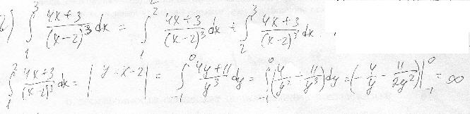
Здравствуйте. При попытке взять первый интеграл из разложенных, у меня получается что он расходится, совсем запутался... может подскажет кто? в задании нужно применить формулу ньютона-лейбница.Нажмите для просмотра прикрепленного файла
граф Монте-Кристо
Показывайте, как решали.
anders
Нажмите для просмотра прикрепленного файла как то так.....
я в самом деле запутался... может сначало был смысл найти подинтегральную функцию, а потом подставить в формулу? Но если я правильно определил, то какой в этом смысл? Скажите только, праильно у меня или нет? 20 лет не занимался этими штуками... sad.gif
Dimka
пределы интегрирования -1..1, а не -1..0
anders
хм..... а что это меняет? если после замены разбить еще на два, то первый выходит -1 0...второй получается можно вообще не рассматривать.... по моему понятию (а я не очень уверен), получается разрыв второго рода. Поправьте меня или подтвердите правильность решения. Не знаю, что это: опечатка в контрольной или проверка студента на вшивость, в чем я сомневаюсь....
Это текстовая версия — только основной контент. Для просмотра полной версии этой страницы, пожалуйста, нажмите сюда.
Русская версия Invision Power Board © 2001-2026 Invision Power Services, Inc.