Помощь
-
Поиск
-
Пользователи
-
Календарь
Полная версия:
Найти область сходимости ряда > Ряды
Образовательный студенческий форум
>
Высшая математика
>
Ряды
Rdd
Сообщение
#48781
21.12.2009, 11:15
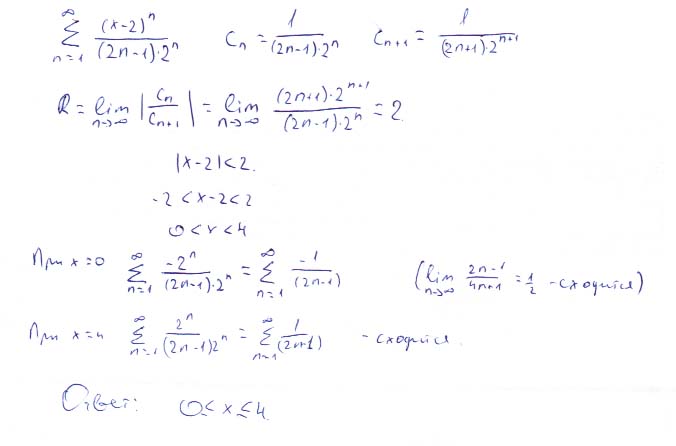
Требуется найти область сходимости ряда.
Вроде решил, но в ответе 0<=x<4 . В чем я ошибся?
Нажмите для просмотра прикрепленного файла
Klyacksa
Сообщение
#48782
21.12.2009, 11:27
в точке x=0 получается знакочередующийся ряд, а не ряд со всеми отрицательными членами
Rdd
Сообщение
#48784
21.12.2009, 11:40
Цитата(Klyacksa @ 21.12.2009, 14:27)
в точке x=0 получается знакочередующийся ряд, а не ряд со всеми отрицательными членами
Упс, спасибо, я не правильно определил сходимость, теперь все понял, 1й будет сходится условно, а 2й по признаку сравнения - расходится.
Klyacksa
Сообщение
#48788
21.12.2009, 11:49
Это текстовая версия — только основной контент. Для просмотра полной версии этой страницы, пожалуйста,
нажмите сюда
.
Русская версия Invision Power Board © 2001-2026
Invision Power Services, Inc.