Помощь - Поиск - Пользователи - Календарь
Полная версия: Исследовать на сходимость ряд > Ряды
Образовательный студенческий форум > Высшая математика > Ряды
kurtz
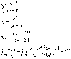
Собственно начал решать но не уверен что вообще в правильном направлении иду, если все же мне повезло, то что там получится при сокращении?
Нажмите для просмотра прикрепленного файла
Dimka
e
kurtz
newconfus.gif так и записать? —>e
т.е. ряд расходится т.к. не выполнен необходимый признак сходимости???
Dimka
Цитата(kurtz @ 7.12.2009, 20:55) *

newconfus.gif так и записать? —>e


Ну если у Вас препод примет такое решение, то запишите. Если нет, то преобразуйте выражение, сократив факториалы и выделив в нем 2ой замечательный предел.

Цитата(kurtz @ 7.12.2009, 20:55) *

newconfus.gif так и записать? —>e
т.е. ряд расходится т.к. не выполнен необходимый признак сходимости???


совершенно верно.

Это текстовая версия — только основной контент. Для просмотра полной версии этой страницы, пожалуйста, нажмите сюда.
Русская версия Invision Power Board © 2001-2026 Invision Power Services, Inc.