Помощь - Поиск - Пользователи - Календарь
Полная версия: интегрирование по частям > Интегралы
Образовательный студенческий форум > Высшая математика > Интегралы
Нелли
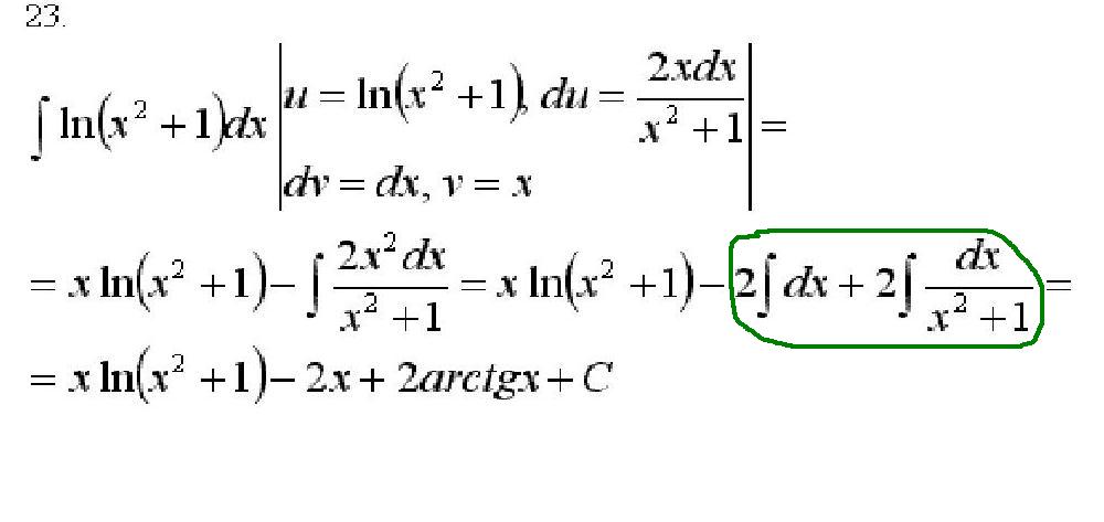
Рассматриваю решение неопределенного интеграла по частям.
Вопрос, наверное, ерундовый, но объясните, пожалуйста, как получается то, что я выделила цветом huh.gif

Нажмите для просмотра прикрепленного файла
Ярослав_
В числителе добавили и отняли двойку, т. е.
2x^2/(x^2+1)=(2x^2+2-2)/(x^2+1)=2(x^2+1-1)/(x^2+1)=2-2/(x^2+1)
Нелли
Спасибо! Теперь мне всё понятно smile.gif
Ярослав_
Цитата(Нелли @ 7.11.2009, 12:10) *

Спасибо! Теперь мне всё понятно smile.gif

В общем случае, сделали из неправильной дроби правильную, можно это сделать искусственным способом, отнять прибавить, можно просто поделить числитель на знаменатель.
Это текстовая версия — только основной контент. Для просмотра полной версии этой страницы, пожалуйста, нажмите сюда.
Русская версия Invision Power Board © 2001-2026 Invision Power Services, Inc.