Lepsik
Сообщение
#3963 27.5.2007, 10:00
с помощью тройного интеграла вычислить объем тела , ограниченного данными поверхностями::
x^2 + y^2 = 1; 2x - z= 0; 4x - z =0
помгите плизз с пределами
Руководитель проекта
Сообщение
#4069 29.5.2007, 5:12
Думаю, что здесь стоит перейти в цилиндрическую СК: x=r*cos(fi), y=r*sin(fi), z=z.
Inekey
Сообщение
#19091 11.10.2008, 18:25
Помогите пожалуйста с решением задачи.
Найти объём тела, ограниченного поверхностями :
x^2+y^2=6x
z=x^2+y^2
z=0
Как правильнее разложить тройной интеграл и с какими предами его взять?
Тролль
Сообщение
#19098 11.10.2008, 20:55
Хотя здесь конечно лучше сделать с помощью цилиндрических координат.
То есть сделать замену
x = r * cos fi
y = r * sin fi
z = z
Inekey
Сообщение
#19101 11.10.2008, 21:06
А если решать с помощью цилиндрической системы координат, то какие пределы интегрирования будут?
Тролль
Сообщение
#19102 11.10.2008, 21:12
Цитата(Inekey @ 11.10.2008, 22:25)

Помогите пожалуйста с решением задачи.
Найти объём тела, ограниченного поверхностями :
x^2+y^2=6x
z=x^2+y^2
z=0
Как правильнее разложить тройной интеграл и с какими предами его взять?
Тогда 0 <= z <= r^2
А по r и по fi можно узнать, подставив в первое уравнение:
(r * cos fi)^2 + (r * sin fi)^2 = 6 * r * cos fi
r^2 = 6r * cos fi => r = 6 * cos fi
r >= 0 => 6 * cos fi >= 0 => cos fi >= 0 => -pi/2 <= fi <= pi/2
Ну и r соответственно меняется от 0 до 6 * cos fi.
RedNastenka
Сообщение
#19545 18.10.2008, 7:14
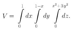
здравствуйте, мне нужно при помощи тройного интеграла вычислить объём, ограниченого поверхностями z=x^2+3y^2, x+y=1, x=y=z=0, посмотрите, правильно ли я изобразила, и расставила пределы:
Нажмите для просмотра прикрепленного файлаНажмите для просмотра прикрепленного файла
Тролль
Сообщение
#19546 18.10.2008, 7:51
Вроде всё правильно. Ответ получается 1/3. Только лучше не писать x=y=z=0, а писать x = 0, y = 0, z = 0.
RedNastenka
Сообщение
#19547 18.10.2008, 7:55
Цитата(Тролль @ 18.10.2008, 15:51)

Вроде всё правильно. Ответ получается 1/3. Только лучше не писать x=y=z=0, а писать x = 0, y = 0, z = 0.
спасибо, сейчас посчитаю
nikolai81
Сообщение
#19714 21.10.2008, 7:47
Здравствуйте, учусь заочно, изучаю темы и пытаюсь сам решить контрольную, можно у вас консультироваться по некоторым вопросам?
1. с помощью тройного интеграла вычислить объём тела, ограниченного координатными плоскостями и плоскостью 2x+3y-z+6=0
посмотрите как делаю:
особенно посмотрите пределы интегрирования по у и по z
сомнения закрались особенно по у, там так или наоборот
Ярослав_
Сообщение
#19716 21.10.2008, 8:08
По игрек от -(2/3)*х-2 до 0, а по остальным осям вроде верно.
nikolai81
Сообщение
#19722 21.10.2008, 10:09
Цитата(tig81 @ 21.10.2008, 18:00)

4 строка, второе слагаемое: еще раз посчитайте (-2-2х/3)^2
спасибо, понял, где ошибка, ответ получил =6.
nikolai81
Сообщение
#19725 21.10.2008, 11:39
2. с помощью тройного интеграла вычислить объём тела, ограниченного: 9<=z^2<=16-x^2-y^2
я тут немного почитал, что у меня есть и так понял, что здесь проекцией на Оху будет
Нажмите для просмотра прикрепленного файлаи нужно перейти к сферической с.к.
получается 3<=r<=4 и всё, в общем, тупик, объясните, как правильно расставить пределы...
tig81
Сообщение
#19726 21.10.2008, 11:45
Цитата(nikolai81 @ 21.10.2008, 14:39)

2. с помощью тройного интеграла вычислить объём тела, ограниченного: 9<=z^2<=16-x^2-y^2
я тут немного почитал, что у меня есть и так понял, что здесь проекцией на Оху будет
и нужно перейти к сферической с.к.
получается 3<=r<=4 и всё, в общем, тупик, объясните, как правильно расставить пределы...
а откуда внутренняя окружность взялась?
nikolai81
Сообщение
#19727 21.10.2008, 11:50
Цитата(tig81 @ 21.10.2008, 19:45)

а откуда внутренняя окружность взялась?
ну да, её нет, немного напутал, а z^2>=9 мы же тут не строим?
тогда 0<=r<=4 так?
а дальше
tig81
Сообщение
#19728 21.10.2008, 12:09
Цитата(nikolai81 @ 21.10.2008, 14:50)

ну да, её нет, немного напутал, а z^2>=9 мы же тут не строим?
тогда 0<=r<=4 так?
а дальше
это не окружность, это пара параллельных плоскостей.
Если находит в декартовой системе, то

Вроде так.
nikolai81
Сообщение
#19729 21.10.2008, 12:22
Цитата(tig81 @ 21.10.2008, 20:09)

это не окружность, это пара параллельных плоскостей.
Если находит в декартовой системе, то

Вроде так.
пара плоскостей, это вы про z=-3 и z=3?
т.е. можно не переходить к сферической с.к., и считать так, да? сейчас посчитаю, ответ сверим?
tig81
Сообщение
#19730 21.10.2008, 12:29
Цитата(nikolai81 @ 21.10.2008, 15:22)

пара плоскостей, это вы про z=-3 и z=3?
да
Цитата
т.е. можно не переходить к сферической с.к., и считать так, да? сейчас посчитаю, ответ сверим?
тяжело сказать, как проще...
nikolai81
Сообщение
#19731 21.10.2008, 13:43
попробовал посчитать интеграл, который вы мне посоветовали, получил -8пи
может подскажите, как со сферическими координатами? хотелось бы понять, на зачёте по любому подобный будет, раньше хоть вечерние занятия были, можно было у преподавателя спросить, а сейчас такая контрольная сложная и их нет, поэтому вот прошу у вас помощи
tig81
Сообщение
#19734 21.10.2008, 14:17
Цитата(nikolai81 @ 21.10.2008, 16:43)

попробовал посчитать интеграл, который вы мне посоветовали, получил -8пи
у меня не так.
Цитата
может подскажите, как со сферическими координатами? хотелось бы понять, на зачёте по любому подобный будет, раньше хоть вечерние занятия были, можно было у преподавателя спросить, а сейчас такая контрольная сложная и их нет, поэтому вот прошу у вас помощи
Посмотрите
здесь,
здесь,
здесь, а также
здесь,
здесь и
здесь
nikolai81
Сообщение
#19735 21.10.2008, 14:23
Цитата(tig81 @ 21.10.2008, 22:17)

у меня не так.
ладно, пересчитаю
Цитата(tig81 @ 21.10.2008, 22:17)

Посмотрите
здесь,
здесь,
здесь, а также
здесь,
здесь и
здесьспасибо, сейчас гляну.
nikolai81
Сообщение
#19764 22.10.2008, 12:42
Цитата(tig81 @ 21.10.2008, 22:17)

у меня не так.
а сколько у вас получилось? я всё, застрял на этом, с переходом не разобрался, так хоть так в декартовой знать ответ
tig81
Сообщение
#19769 22.10.2008, 12:56
Цитата(nikolai81 @ 22.10.2008, 15:42)

а сколько у вас получилось? я всё, застрял на этом, с переходом не разобрался, так хоть так в декартовой знать ответ
вроде 96Pi
nikolai81
Сообщение
#19771 22.10.2008, 12:58
Цитата(tig81 @ 22.10.2008, 20:56)

вроде 96Pi
с плюсом? я вот тут пересчитывал, с минусом получил, сейчас опять попробую
а что скажете про другое задание, правильно делал то хоть, почему ответы получились противоположные
tig81
Сообщение
#19772 22.10.2008, 13:03
Цитата(nikolai81 @ 22.10.2008, 15:58)

с плюсом? я вот тут пересчитывал, с минусом получил, сейчас опять попробую
вроде с плюсом
Цитата
а что скажете про другое задание, правильно делал то хоть, почему ответы получились противоположные
какое другое?
nikolai81
Сообщение
#19773 22.10.2008, 13:05
Цитата(tig81 @ 22.10.2008, 21:03)

какое другое?
которое я в личку посылал
tig81
Сообщение
#19774 22.10.2008, 13:14
Цитата(nikolai81 @ 22.10.2008, 16:05)

которое я в личку посылал
Выставите их, а то я удалила. И в чем проблема, ответы все равно не совпали?
nikolai81
Сообщение
#19775 22.10.2008, 13:24
Цитата(tig81 @ 22.10.2008, 21:14)

Выставите их, а то я удалила. И в чем проблема, ответы все равно не совпали?
они получились противоположные
ладно, удаляю, чтоб место не занимали
tig81
Сообщение
#19776 22.10.2008, 14:08
Пересчитала непосредственно, получилось -1/4. Сейчас еще и по ф-ле Остроградского-Гаусса попробую.
nikolai81
Сообщение
#19780 22.10.2008, 14:23
Цитата(tig81 @ 22.10.2008, 22:08)

Пересчитала непосредственно, получилось -1/4. Сейчас еще и по ф-ле Остроградского-Гаусса попробую.
очень надеюсь на вас, жду, потому чтодо самого не доходит, где ошибся
tig81
Сообщение
#19781 22.10.2008, 14:26
По формуле Остроградского:

Т.е. получаем П=-6*(1/24)=-1/4.
Цитата(nikolai81 @ 22.10.2008, 17:23)

очень надеюсь на вас, жду, потому чтодо самого не доходит, где ошибся
а где в ваших вычислениях ошибка не соображу. Скорее всего неправильно раставлены пределы интегрирования.
nikolai81
Сообщение
#19786 22.10.2008, 14:53
Цитата(tig81 @ 22.10.2008, 22:26)

По формуле Остроградского:

Т.е. получаем П=-6*(1/24)=-1/4.
а где в ваших вычислениях ошибка не соображу. Скорее всего неправильно раставлены пределы интегрирования.
я тут ещё спрашивал на другом форуме, мне подчеркнули, что нужно найти поток через
полную поверхность, но тут уж всё, что значит через полную?
tig81
Сообщение
#19789 22.10.2008, 15:12
Цитата(nikolai81 @ 22.10.2008, 17:53)

я тут ещё спрашивал на другом форуме, мне подчеркнули, что нужно найти поток через полную поверхность, но тут уж всё, что значит через полную?
Посмотрите
здесь,
здесь. Я так понимаю, вам надо вычилсть поток на каждой грани заданной пирамиды.
nikolai81
Сообщение
#19794 22.10.2008, 15:26
Цитата(tig81 @ 22.10.2008, 23:12)

Посмотрите
здесь,
здесь. Я так понимаю, вам надо вычилсть поток на каждой грани заданной пирамиды.
да... вот это я попал ...
nikolai81
Сообщение
#19854 24.10.2008, 3:41
Цитата(tig81 @ 22.10.2008, 22:26)

По формуле Остроградского:

Т.е. получаем П=-6*(1/24)=-1/4.
а где в ваших вычислениях ошибка не соображу. Скорее всего неправильно раставлены пределы интегрирования.
плоскость: х+2у-2z=1
а как у вас так получилось? границы интегрирования такие как у меня?, т.е. по х: от 0 до 1, по у: от 0 до (1-х)/2, и по z: от 0 до (х+2у-1)/2
hook
Сообщение
#43546 2.11.2009, 16:43
Цитата(tig81 @ 21.10.2008, 16:09)

Всем доброго здравия!
Попался сей интеграл, один в один. Пытался решить данным способом, но прихожу к неопределенности.
Нажмите для просмотра прикрепленного файлаТакой вопрос: вычисляем интеграл с теми пределами интегрирования что указал нам tig81 ?? Или там еще что-то?
Второй вопрос: при поиске предела интегрирования по оси аппликат (Оz)
9<=z^2<=16-x^2-y^2;
+-3<=z<=+-sqrt(16-x^2-y^2):
Получили пределы интегрирования от z=-3 до z=3. А куда делось "+-sqrt(16-x^2-y^2)" ?
Заранее спасибо.
Ярослав_
Сообщение
#43554 2.11.2009, 17:19
Мне кажется, там совсем другие пределы будут, Это сфера с R=4 и две параллельные плоскости z=+-3, на положительных z
3=<z=<Sqrt[16-x^2-y^2]
На ось xOy x^2+y^2+9=16 => x^2+y^2=7 => R=sqrt[7]
hook
Сообщение
#43555 2.11.2009, 17:34
Вот условие, чтобы не искать по страницам:
Цитата(nikolai81 @ 21.10.2008, 15:39)

с помощью тройного интеграла вычислить объём тела, ограниченного: 9<=z^2<=16-x^2-y^2
Цитата(Ярослав_ @ 2.11.2009, 21:19)

Мне кажется, там совсем другие пределы будут, Это сфера с R=4 и две параллельные плоскости z=+-3, на положительных z
3=<z=<Sqrt[16-x^2-y^2]
На ось xOy x^2+y^2+9=16 => x^2+y^2=7 => R=sqrt[7]
Спасибо за содействие
попробую сделать, решение выложу
hook
Сообщение
#43597 2.11.2009, 20:04
Получилось примерно следующее:
Нажмите для просмотра прикрепленного файла Вопрос только в пределе интегрирования по z
9<=z<=16-x^2-y^2
это верно ?
Ярослав_
Сообщение
#43625 2.11.2009, 21:09
Квадрат же извлечен, значит 3=<z=<Sqrt[16-x^2-y^2]
hook
Сообщение
#43709 3.11.2009, 21:24
Нажмите для просмотра прикрепленного файла Решил тройной интеграл таким почти обычным способом, но результат "0"
Подскажите, пожалуйста, в чем ошибка?
Может нужно делать замену в самом начале и переходить к пределам интегрирования с "ПИ" ?
Или решать в другой системе координат ? - полярная\сферическая ?
Ярослав_
Сообщение
#43714 3.11.2009, 22:37
Лучше в ЦСК
x=r*cos(fi);
y=r*sin(fi);
3=<z=<sqrt[16-r^2]
0=<fi=<2*pi;
0=<r=<sqrt[7];
dxdydz=rdrd(fi)dz
Посчитаете, получится должно V1=11*pi/3, так как на отрицательных зет, -sqrt[16-x^2-y^2]=<z=<-3
то V=2*V1
Это текстовая версия — только основной контент. Для просмотра полной версии этой страницы, пожалуйста,
нажмите сюда.