Помощь
-
Поиск
-
Пользователи
-
Календарь
Полная версия:
экстремум функции > Дифференцирование (производные)
Образовательный студенческий форум
>
Высшая математика
>
Дифференцирование (производные)
Базика
Сообщение
#40077
12.9.2009, 20:52
Нажмите для просмотра прикрепленного файла
помогите пожалуйста иследовать функцию на экстремум
как найти координаты точек(точки)из уравнений?
граф Монте-Кристо
Сообщение
#40078
12.9.2009, 21:33
Можно выразить х и у через z и подставить в исходное уравнение.
Базика
Сообщение
#40081
13.9.2009, 10:06
получается z1=4 M1(1;1)
z2=-4 M2(-1;-1)
а как выяснить какая из этих точек- локальмый максимум,а какая -минимум?
Руководитель проекта
Сообщение
#40098
13.9.2009, 12:57
Цитата(Базика @ 13.9.2009, 14:06)
а как выяснить какая из этих точек- локальмый максимум,а какая -минимум?
Для начала необходимо найти 2-е производные.
Базика
Сообщение
#40100
13.9.2009, 14:29
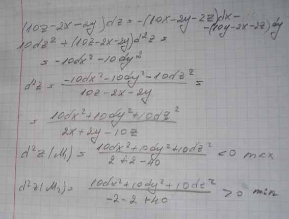
Нажмите для просмотра прикрепленного файла
вот так?
граф Монте-Кристо
Сообщение
#40101
13.9.2009, 15:32
Нет.Дифференцируете неправильно.
Базика
Сообщение
#40102
13.9.2009, 16:07
не могу найти ошибку,подскажите пожалуйста
граф Монте-Кристо
Сообщение
#40107
13.9.2009, 17:33
(u/v)' = (u'v - uv')/(v^2)
В Вашем конкретном случае при дифференцировании нужно учитывать,что z=z(x,y).
Это текстовая версия — только основной контент. Для просмотра полной версии этой страницы, пожалуйста,
нажмите сюда
.
Русская версия Invision Power Board © 2001-2026
Invision Power Services, Inc.