Помощь - Поиск - Пользователи - Календарь
Полная версия: проверить сходимость ряда > Ряды
Образовательный студенческий форум > Высшая математика > Ряды
fanjke
Нажмите для просмотра прикрепленного файла

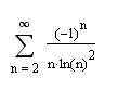
помогите пожалуйста проверить сходимость ряда, абсолютную или условную

tig81
Правила форума
Примеры
Что конкретно не получается?
fanjke
Берем по теореме Лейбница, проверяем сходится ли ряд вообще. Ряд сходится. Осталось установить как, берем ряд из модулей. предел от An равен нулю. Следовательно условие сходимости выполняется. Но если брать предел по правилу Даламбера Или Коши, то выходит единица. В этом и загвоздка. Со сравнением рядов проблемы, не очень доходит с каким именно рядом сравнивать.
tig81
А интегральный признак Коши не использовали?

П.С. В знаменателе логарифм в квадрате или полулогарифмическая функция?
граф Монте-Кристо
Я бы попробовал интегральный признак применить.
fanjke
в знаменателе квадрат логарифма. Ок, попробую, спасибо
tig81
граф Монте-Кристо, мы сегодня с вами прямо в унисон.
граф Монте-Кристо
Цитата
граф Монте-Кристо, мы сегодня с вами прямо в унисон.

wink.gif
tig81
bigwink.gif
Это текстовая версия — только основной контент. Для просмотра полной версии этой страницы, пожалуйста, нажмите сюда.
Русская версия Invision Power Board © 2001-2026 Invision Power Services, Inc.