OreX
Сообщение
#35045 29.4.2009, 21:39
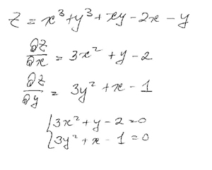
Дана функция двух переменных, я нашёл частные производные, приравнял их к нулю и теперь не могу найти решение уравнений. Может быть я что-то сделал не так?? Какие есть мысли подскожите плиз!!!
Нажмите для просмотра прикрепленного файла
Dimka
Сообщение
#35049 30.4.2009, 3:50
Графически найдите. Постройте графики двух уравнений, точки пересечения - решение уравнения.
OreX
Сообщение
#35066 30.4.2009, 10:46
При построении графиков видно, что они имеют четыре точки пересечения, но невозможно установить координаты этих точек.
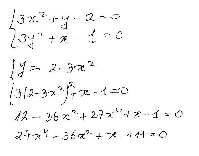
Нажмите для просмотра прикрепленного файла Если решать аналитически, то я пришёл к многочлену четвёртой степени, может быть есть способы нахождения корней этого уравнения с которыми я ещё не знаком??
Нажмите для просмотра прикрепленного файла
Dimka
Сообщение
#35068 30.4.2009, 11:38
Цитата(OreX @ 30.4.2009, 14:46)

При построении графиков видно, что они имеют четыре точки пересечения, но невозможно установить координаты этих точек.
Если решать аналитически, то я пришёл к многочлену четвёртой степени, может быть есть способы нахождения корней этого уравнения с которыми я ещё не знаком??
http://ru.wikipedia.org/wiki/%D0%A3%D1%80%...%B5%D0%BD%D0%B8
OreX
Сообщение
#35081 1.5.2009, 3:32
Да, видимо здесь бы подошло решение Декарта — Эйлера, но думаю, что будет достаточно просто указать, что критических точек четыре и их диапазон координат.)) Спасибо за помощь.