Помощь - Поиск - Пользователи - Календарь
Полная версия: Решение пределов > Пределы
Образовательный студенческий форум > Высшая математика > Пределы
Li_o
Я решила пределы, проверьте пожалуйста правильно или нет... А последний пример, поскажите с помощью чего его нужно решить, я попробую... Нажмите для просмотра прикрепленного файла
Stensen
Цитата(Li_o @ 23.4.2009, 10:48) *
Я решила пределы, проверьте пожалуйста правильно или нет...
Замечание: некорректно писать: 1 - cosx = x^2/2, пишите: ~ x^2/2 при x->0 или =x^2/2 + o(x^3) при x->0

Цитата(Li_o @ 23.4.2009, 10:48) *
А последний пример, поскажите с помощью чего его нужно решить, я попробую...
Сводится к замечательному пределу: lim (1+1/x)^x при x->
Li_o
Stensen, спасибо вам большое... но я не понимаю как свести к первому замечательному пределу, мы их в техникуме не проходили, из-за отсутствия учителейsad.gif к моему большому сожелениюsad.gif а в университете они понадобились... В тех пределах я разобралась вроде... а в замечательных путаюсь и ничего не могу понятьsad.gif
Stensen
при x->lim ((x^2+1)/x^2)^(x^2+1) = lim (1+1/x^2)*(1+1/x^2)^x^2 = lim (1+1/x^2) * lim (1+1/x^2)^x^2 = 1* lim (1+1/t)^t (сделали замену t = x^2) при t->∞. Второй замечат.предел: lim (1+1/t)^t = e

Li_o
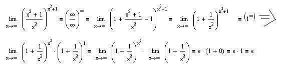
Stensen, а замену на t обязательно делать или можно обойтись и без нее? Так тоже правильно будет? Нажмите для просмотра прикрепленного файла И спасибо вам большоеsmile.gif
Stensen
Цитата(Li_o @ 28.4.2009, 3:31) *
Stensen, а замену на t обязательно делать или можно обойтись и без нее? Так тоже правильно будет?
Замену нужно делать только для придания строгости изложению. Второй замечат.предел великие мат-ки доказывали долго и нам теперь известно,что при х->∞ lim (1+1/x)^x = e. Как известно мы, современники, знаем гораздо больше древних ученых, мы вообще типа умнее их dribble.gif , а посему мы знаем, что lim (1+1/x^2)^x^2 = e. Но строго говоря,если вы не делаете замену и ссылаетесь на замеч.предел, вы должны четко указать - а где же он этот предел есть,именно в том виде, в кот. его все знают. Или доказать свое утверждение, что сводится как раз к замене.
Li_o
Stensen, спасибо вам большое!!! вроде понялаsmile.gif
Это текстовая версия — только основной контент. Для просмотра полной версии этой страницы, пожалуйста, нажмите сюда.
Русская версия Invision Power Board © 2001-2026 Invision Power Services, Inc.