Julia11
Сообщение
#32887 8.4.2009, 19:22
Здравствуйте!
Нужно исследовать на равномерную сх-ть: сумма от n=1 до оо (x^(n) - x^(2n)), 0<=x<=1.
Чему равно Sn(x) и как ее искать? Заранее спасибо за помощь!
venja
Сообщение
#32908 9.4.2009, 7:16
Sn(x) имеет вид разности сумм двух геометрических прогрессий. Для каждой суммы есть формула.
Stensen
Сообщение
#32913 9.4.2009, 8:44
Теорема: {Fn(x)} - фукц-ая послед-ть сходится равномерно на множ-ве Х=[0,...,1] <=>
lim sup |Fn(x)-F(x)| =0, при n->∞, для всех х из Х, где: F(x) = lim Fn(x), при n->∞.
Алгоритм:
1. F(x) = lim Fn(x) = lim (x^n - x^(2n)) при n->∞.
2. Найти x из Х, при которых |Fn(x)-F(x)| -> max, это и есть sup |Fn(x)-F(x)| на Х. С помощью производной исследуем Fn(x)-F(x) на мах, подставляем этот х в |Fn(x)-F(x)| и ищем lim.
3. Применяем Теорему.
Итак:
1. F(x)=0
2. х=1/2^(1/n), sup |Fn(x)-F(x)| = |Fn(x)-F(x)| = 1/4
3. lim sup |Fn(x)-F(x)| = 1/4 не равен 0, при n->∞.
Значит сходится неравномерно (только по-точечно).
Julia11
Сообщение
#32945 9.4.2009, 13:35
Цитата(Stensen @ 9.4.2009, 12:44)

Теорема: {Fn(x)} - фукц-ая послед-ть сходится равномерно на множ-ве Х=[0,...,1] <=>
lim sup |Fn(x)-F(x)| =0, при n->∞, для всех х из Х, где: F(x) = lim Fn(x), при n->∞.
...
Всё бы хорошо, только у меня не функциональная посл-ть, а функциональный ряд.
Нужно находить Sn(x). Я нашла, дальше чё т не знаю как... Как-то слишком страшно находить |Sn(x)-S(x)| и еще к тому же sup...
Нажмите для просмотра прикрепленного файлаНажмите для просмотра прикрепленного файла
Stensen
Сообщение
#32947 9.4.2009, 13:42
Практически пардон, не заметил,что это ряд.
Julia11
Сообщение
#33096 10.4.2009, 21:17
Цитата(venja @ 9.4.2009, 11:16)

Sn(x) имеет вид разности сумм двух геометрических прогрессий. Для каждой суммы есть формула.
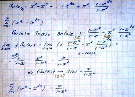
Спасибо! Я посчитала Sn(x) и S(x). Решение выложено в этой теме в другом сообщении "Дата 9.4.2009, 17:35". Там есть пара вопросов, но ничего существенного это не привнесет.
Самое "веселое" - это равномерная сх-ть... По какой теореме или свойству лучше доказывать в этой задаче? Буду ОЧЕНЬ признательна за помощь!
venja
Сообщение
#33097 11.4.2009, 5:02
Проверьте, давно не решал таких задач, да может и в преобразованиях ошибся.
Равномерная сходимость ряда по определению есть равном. сх-ть част. сумм.
Если я не ошибся, то получается так.
Sn(x) =
x*(x^n-1)*(x^(n+1)-1)/(1-x^2) при х из [0,1)
0 при х=1
Переходя к пределу, получим
S(x)=
x/(1-x^2) при х из [0,1)
0 при х=1
При этом видно, что S(х) разрывна в 1 (в отличие от Sn(x)).
Отсутствие равномерной сходимости ряда на ОТРЕЗКЕ [0,1] можно
доказать от противного. Если бы ряд сходился равномерно (а ряд состоит из непрерывных на [0,1] функций), то по соответствующей теореме (если я правильно вспоминаю) его сумма должна быть непрерывной на [0,1] - противоречие.
Проверьте.
A_nn
Сообщение
#33101 11.4.2009, 6:47
Цитата(venja @ 11.4.2009, 9:02)

Проверьте, давно не решал таких задач, да может и в преобразованиях ошибся.
Равномерная сходимость ряда по определению есть равном. сх-ть част. сумм.
Если я не ошибся, то получается так.
Sn(x) =
x*(x^n-1)*(x^(n+1)-1)/(1-x^2) при х из [0,1)
0 при х=1
Переходя к пределу, получим
S(x)=
x/(1-x^2) при х из [0,1)
0 при х=1
При этом видно, что S(х) разрывна в 1 (в отличие от Sn(x)).
Отсутствие равномерной сходимости ряда на ОТРЕЗКЕ [0,1] можно
доказать от противного. Если бы ряд сходился равномерно (а ряд состоит из непрерывных на [0,1] функций), то по соответствующей теореме (если я правильно вспоминаю) его сумма должна быть непрерывной на [0,1] - противоречие.
Проверьте.
Наверное, можно и непосредственно указать \epsilon>0 такое, что для любого N найдется n>N и x\in[0,1], что |S_n(x)-S(x)|>\epsilon (ну т.е. х и n явно указать. Ручки нет под рукой, а в уме не получается).
P.S. Всем привет
venja
Сообщение
#33113 11.4.2009, 9:10
Неужели Nutik вернулась?!

Надеюсь, надолго?
Еще бы Lion дождаться!
И все дома.
Stensen
Сообщение
#33374 13.4.2009, 15:15
Как вариант,для док-ва неравномерной сходимости ряда можно воспользоваться моим более ранним постом в этом же вопросе, где я показал неравномерную сход-сть функц-ой послед-ти: Fn(x)= x^n-x^2n. Было показано, что при x=1/2^(1/n): sup |Fn(x)-F(x)| = |Fn(x)-F(x)| = epcilon =1/4, т.е. остаток ряда не стремится к 0. Вроде так.
Julia11
Сообщение
#33416 13.4.2009, 20:48
Цитата(venja @ 11.4.2009, 9:02)

Проверьте, давно не решал таких задач, да может и в преобразованиях ошибся.
Равномерная сходимость ряда по определению есть равном. сх-ть част. сумм.
Если я не ошибся, то получается так.
Sn(x) =
x*(x^n-1)*(x^(n+1)-1)/(1-x^2) при х из [0,1)
0 при х=1
Переходя к пределу, получим
S(x)=
x/(1-x^2) при х из [0,1)
0 при х=1
При этом видно, что S(х) разрывна в 1 (в отличие от Sn(x)).
Отсутствие равномерной сходимости ряда на ОТРЕЗКЕ [0,1] можно
доказать от противного. Если бы ряд сходился равномерно (а ряд состоит из непрерывных на [0,1] функций), то по соответствующей теореме (если я правильно вспоминаю) его сумма должна быть непрерывной на [0,1] - противоречие.
Проверьте.
Да, есть такая теорема и на паре мы доказывали по этой теореме и аналитически с epsilon этим ужасным. У вас отличнейшая память! =) я эти теоремы благополучно забываю после коллка или экзамена. Сдам задачу по этой теореме... Если вернет и попросит аналитически - придется искать Epsilon. И еще не слишком очевидно что Sn(x) непрерывные. Я нарисовала) Как аналитически док-ть, что непрерывные на [0,1]? Спасибо за помощь!
venja
Сообщение
#33426 14.4.2009, 5:26
Там только точка х=1 вызывает сомнение в непрерывности. Перейдите к пределу (по Лопиталю или нет) и убедитесь, что
lim(x->1-0) Sn(x)=0=S(0) - чтд (учтите, что n - целое и >=1)
Stensen
Сообщение
#33428 14.4.2009, 5:45
Непрерывность Sn(x) очевидна, т.к. Sn(x) = ∑(x^n - x^2n) - это многочлен для каждого фикс-го n. Если непрерывность многочлена вызывает сомнение, то надо док-ть его непрерывность по общим правилам, через определение непрерывнности ф-ии: Коши, Гейне и т.д.
P.S. Кстати! Что означают сокращения: б.б., б.м. - бесконечно малая и большая???
dr.Watson
Сообщение
#33444 14.4.2009, 9:16
Обозначим сумму ряда S(x), тогда
1) S(x)=x/(1-x^2) при 0<=x<1 - разность двух сходящихся геометрических прогрессий
2) S(1)=0, как сумма нулей
То есть S(x) - разрывна в точке x=1.
А если бы ряд сходился равномерно, то S(x) была бы непрерывна.
venja
Сообщение
#33474 14.4.2009, 13:31
Цитата(Stensen @ 14.4.2009, 11:45)

[font=Calibri][size=3]Непрерывность Sn(x) очевидна, т.к. Sn(x) = ∑(x^n - x^2n) - это многочлен для каждого фикс-го n.
Да, конечно. Так проще.
Цитата(venja @ 11.4.2009, 11:02)

Проверьте, давно не решал таких задач, да может и в преобразованиях ошибся.
Равномерная сходимость ряда по определению есть равном. сх-ть част. сумм.
Если я не ошибся, то получается так.
Sn(x) =
x*(x^n-1)*(x^(n+1)-1)/(1-x^2) при х из [0,1)
0 при х=1
Переходя к пределу, получим
S(x)=
x/(1-x^2) при х из [0,1)
0 при х=1
При этом видно, что S(х) разрывна в 1 (в отличие от Sn(x)).
Отсутствие равномерной сходимости ряда на ОТРЕЗКЕ [0,1] можно
доказать от противного. Если бы ряд сходился равномерно (а ряд состоит из непрерывных на [0,1] функций), то по соответствующей теореме (если я правильно вспоминаю) его сумма должна быть непрерывной на [0,1] - противоречие.
Проверьте.
Цитата(dr.Watson @ 14.4.2009, 15:16)

Обозначим сумму ряда S(x), тогда
1) S(x)=x/(1-x^2) при 0<=x<1 - разность двух сходящихся геометрических прогрессий
2) S(1)=0, как сумма нулей
То есть S(x) - разрывна в точке x=1.
А если бы ряд сходился равномерно, то S(x) была бы непрерывна.
tig81
Сообщение
#33507 14.4.2009, 18:59
Повторение - мать учения.
Julia11
Сообщение
#33520 14.4.2009, 19:42
Спасибо огромное за ответы! Вроде и ряд не сложный, но вопросов...
"Не непрерывность" S(x) не вызывала вопросов, это очевидно!
За Sn(x) спасибо! =)
Цитата
"б.б., б.м. - бесконечно малая и большая???"
Конечно)
Цитата
"Там только точка х=1 вызывает сомнение в непрерывности. Перейдите к пределу (по Лопиталю или нет) и убедитесь, что
lim(x->1-0) Sn(x)=0=S(0) - чтд (учтите, что n - целое и >=1)"
Понятно что в этом убедиться надо, есть теорема или определение ф-ии непрер в точке. Если вернет, то придется "убеждаться")
Thanks, thanks, thanks!
venja
Сообщение
#33568 15.4.2009, 7:02
Цитата(Julia11 @ 15.4.2009, 1:42)

Понятно что в этом убедиться надо, есть теорема или определение ф-ии непрер в точке. Если вернет, то придется "убеждаться"
Не придется, так как
Цитата(Stensen @ 14.4.2009, 11:45)

Непрерывность Sn(x) очевидна, т.к. Sn(x) = ∑(x^n - x^2n) - это многочлен для каждого фикс-го n.
dr.Watson
Сообщение
#33709 16.4.2009, 7:56
Цитата(tig81 @ 15.4.2009, 1:59)

Повторение - мать учения.
У-п-с не заметил, что
venja уже написал.
venja
Сообщение
#33723 16.4.2009, 9:06
Цитата(venja @ 14.4.2009, 11:26)

Там только точка х=1 вызывает сомнение в непрерывности. Перейдите к пределу (по Лопиталю или нет) и убедитесь, что
lim(x->1-0) Sn(x)=0=S(0) - чтд (учтите, что n - целое и >=1)
Доказывать непрерывность Sn(x) вообще лишнее. Достаточно первого замечания, что
Цитата(venja @ 11.4.2009, 11:02)

а ряд состоит из непрерывных на [0,1] функций
Это текстовая версия — только основной контент. Для просмотра полной версии этой страницы, пожалуйста,
нажмите сюда.