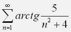
Задание: Исследовать на сходимость ряд с помощью достаточных признаков сходимости
Нажмите для просмотра прикрепленного файла
Вопрос: при исследовании данного ряда на сходимость какие достаточные признаки сходимости использовать? Интегральный признак Коши? Или ещё какие есть?
