Цитата(misha_nick @ 23.2.2009, 22:13)

Вот что у меня получилось:
Верно

?
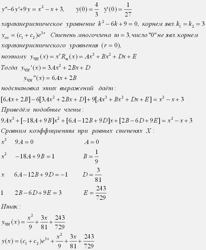
1) Характеристическое уравнение: k^2-6k+9
=0, у вас записан характеристический многочлен
2) У вас получился один корень, но кратности два, т.е. k1=k2=3, тогда решение однородного уравнения будет иметь вид: yo=(C1+C2x)e^(3x), т.е. экспонента умножается на многочлен, степень которого на единицу меньше, чем кратность корня.
3) m=3 - это степень какого многочлена? Еще раз посмотрите на частное решение.