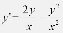
Задание: Найти общее решение дифференциального уравнения
Нажмите для просмотра прикрепленного файла
Решение:
Делим выражение на x^2
Нажмите для просмотра прикрепленного файла то же самое, что и Нажмите для просмотра прикрепленного файла
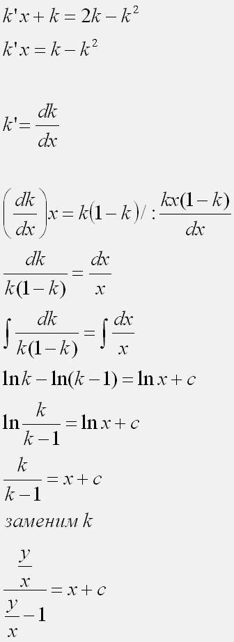
делаем замену (y/x)=k y=kx y'=k'x+k
подставим...
Нажмите для просмотра прикрепленного файла
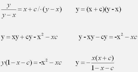
Вот что получилось. Чтоб найти общее решение ДУ нужно выразить у через х или просто достаточно будет упростить выражение?
