Помощь - Поиск - Пользователи - Календарь
Полная версия: Вычислить криволинейный интеграл > Интегралы
Образовательный студенческий форум > Высшая математика > Интегралы
misha_nick
Задание: Вычислить криволинейный интеграл
Нажмите для просмотра прикрепленного файла вдоль дуги L параболы у=2*х^2 от начала координат до т.А(1;2)

Решение: Прем. Х изменяется в данном направлении от 0 до 1.
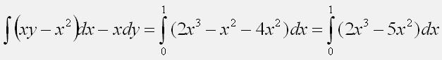
Вычислим криволинейный интеграл сведением его к определённому:
Нажмите для просмотра прикрепленного файла

Вот так у меня получилось. Правдоподобно? Или я где-то напутал huh.gif ? Если что поправьте плиззз....
Ярослав_
В последнем слагаемом напутано
y=2x^2;
dy=4xdx
Откуда xdy=x*4xdx=4x^2dx
А в остальном нормально.
misha_nick
То есть интеграл будет выглядеть так:
Нажмите для просмотра прикрепленного файла
и далее решаем как обычный олпределённый интеграл...
Ярослав_
Да.
misha_nick
Ярослав_, сэнькс smile.gif
Это текстовая версия — только основной контент. Для просмотра полной версии этой страницы, пожалуйста, нажмите сюда.
Русская версия Invision Power Board © 2001-2026 Invision Power Services, Inc.