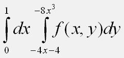
Изменить порядок интегрирования в двойном интеграле:
Нажмите для просмотра прикрепленного файла
Решение:
Строим область интегрирования по исходному интегралу (заштрихована)
Нажмите для просмотра прикрепленного файла
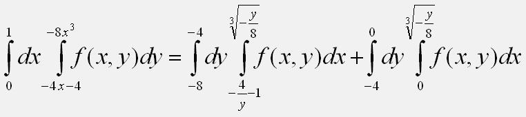
y меняется от -8 до 0
Получаем
Нажмите для просмотра прикрепленного файла
Проверьте пожалуйста решение.
