Nat111
Сообщение
#28625 13.2.2009, 15:19
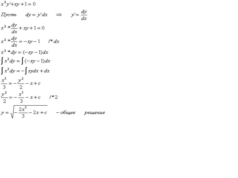
Здравствуйте! Вот решаю контрольную. Сделала один пример. Пожалуйста подскажите правильно решила или где то ошибку допустила.
Задание: Найти общее решение дифференциального уравнения.
Решение:
Нажмите для просмотра прикрепленного файла
граф Монте-Кристо
Сообщение
#28627 13.2.2009, 15:26
Неправильно.
Нужно разделить всё на x^2 и получится линейное неоднородное уравнение,которое просто решается.
tig81
Сообщение
#28628 13.2.2009, 15:27
Интересное у вас решение. Я бы сводила к
линейному уравнению первого порядка.
Nat111
Сообщение
#28633 13.2.2009, 15:45
граф Монте-Кристо скажите пожалуйста. вот разделить всё на x^2 это до интеграла или после (какая по счету строчка)? спасибо за ранее.
просто я эти примеры года три не решала. все забылось :-(
tig81
Сообщение
#28635 13.2.2009, 15:52
Цитата(Nat111 @ 13.2.2009, 17:45)

...какая по счету строчка)? спасибо за ранее.
вторая, если первая - это условие.
Ой, к
графу Монте-Кристо был вопрос.
Nat111
Сообщение
#28636 13.2.2009, 15:53
спасибо tiq81 за ответ :-)
ну что-то у меня не получается. разучилась наверно уже делить :-(
x^2*(dy/dx)+xy+1=0 /x^2
(x^2/x^2)*((dy/dx)/x^2)+(xy/x^2)+1/x^2=0
dy/x^2dx+ y/x+1/x^2=0
правильно?
tig81
Сообщение
#28637 13.2.2009, 15:59

Ссылку еще посмотрите.
Nat111
Сообщение
#28649 13.2.2009, 17:26
tig81
Сообщение
#28650 13.2.2009, 17:34
Не поняла, как v находили... А также и u.
Nat111
Сообщение
#28651 13.2.2009, 17:38
Цитата(tig81 @ 13.2.2009, 17:34)

Не поняла, как v находили...
я с политеховых тетрадок взяла.
v=e^(-integral p(x)dx) - это как бы вроде формула идет.
может за памятывала.
tig81
Сообщение
#28652 13.2.2009, 17:49
Хм...
Итак, получилось уравнение:
y'+y/x=-1/x^2
y=uv => y'=u'v+uv'
u'v+uv'+uv/x=-1/x^2
u'v+u(v'+v/x)=-1/x^2
v'+v/x=0 - отсюда находим v.
u:u'v=-1/x^2
Nat111
Сообщение
#28653 13.2.2009, 18:23
Цитата(tig81 @ 13.2.2009, 17:49)

v'+v/x=0 - отсюда находим v.
извините пожалуйста за туго соображаемость, но я не могу понять как из того уравнения найти V.
tig81
Сообщение
#28654 13.2.2009, 18:27
Цитата(Nat111 @ 13.2.2009, 20:23)

извините пожалуйста за туго соображаемость, но я не могу понять как из того уравнения найти V.

Это уравнение с
разделяющимися переменными
Nat111
Сообщение
#28655 13.2.2009, 18:41
вот так:
v'+v/x=0
=> v'=dv/dx
а это надо?
dv/dx+v/x=0
dv/dx=v/x /*dx
dv=(v/x)dx
интеграл dv=интеграл (v/x)dx
tig81
Сообщение
#28656 13.2.2009, 18:57
Цитата(Nat111 @ 13.2.2009, 20:41)

v'+v/x=0
=> v=dv/du
это кто вам такое сказал. v - это функция от х, т.е. v'=dv/dx.
Nat111
Сообщение
#28658 13.2.2009, 19:05
т.е
Цитата(Nat111 @ 13.2.2009, 18:41)

вот так:
v'+v/x=0
=> v'=dv/dx
а это надо?
dv/dx+v/x=0
dv/dx=v/x /*dx
dv=(v/x)dx
интеграл dv=интеграл (v/x)dx
tig81
Сообщение
#28659 13.2.2009, 19:12
Цитата(Nat111 @ 13.2.2009, 18:41)

т.е вот так:
v'+v/x=0
=> v'=dv/dx
а это надо?
ну конечно, уравнение ведь решить надо
Цитата
dv/dx+v/x=0
dv/dx=-v/x /*dx
посмотрите, потеряли знак.
Цитата
dv=(v/x)dx
интеграл dv=интеграл (v/x)dx
слева должно быть только v, а справа - х. Поэтому левую и правую часть делим на v, т.е. разделяем переменные. Вы по ссылочке ходили? Там аналогичное уравнение рассматривается.
Nat111
Сообщение
#28660 13.2.2009, 19:20
здесь наверно тоже я знак потеряла?
dv=- (v/x)dx
интеграл dv= - интеграл (v/x)dx
да по ссылочке ходила. вот по тому примеру примерно сообразила как решать. я только с du перепутала. заместо du надо было dx.
tig81
Сообщение
#28661 13.2.2009, 19:29
Цитата(Nat111 @ 13.2.2009, 21:20)

здесь наверно тоже я знак потеряла?
dv=- (v/x)dx
интеграл dv= - интеграл (v/x)dx
ну да.
только правильно разделите переменные.
Nat111
Сообщение
#28667 13.2.2009, 19:55
а прежде чем переменные делить, надо же из интеграла вытащить?
тогда первый интеграл будет равняться V
а второй -ln(x)?
tig81
Сообщение
#28668 13.2.2009, 20:00
Вы переменные вначале разделите, а уже потом интегрируйте.
Nat111
Сообщение
#28672 13.2.2009, 20:12
правильно разделила?
интеграл dv=- интеграл (v/x)dx /v
интеграл dv/v=- интеграл ((v/x)/v)dx
интеграл dv/v=- интеграл dx/x
интегрируем:
ln(v)+c=-(ln(x)+c)
tig81
Сообщение
#28673 13.2.2009, 20:14
Цитата(Nat111 @ 13.2.2009, 22:12)

правильно разделила?
интеграл dv=- интеграл (v/x)dx /v
интеграл dv/v=- интеграл ((v/x)/v)dx
интеграл dv/v=- интеграл dx/x
интегрируем:
v+c=-(x+c)
Разделили верно, но интеграл нашли неправильно.
П.С. интеграл лучше пишите int, букв по-меньше.
таблица интегралов
Nat111
Сообщение
#28674 13.2.2009, 20:16
интегрируем:
ln(v)+c=-(ln(x)+c)
tig81
Сообщение
#28675 13.2.2009, 20:18
Цитата(Nat111 @ 13.2.2009, 22:16)

интегрируем:
ln(v)+c=-(ln(x)+c)
Лучше так записать:
ln(v)=-ln(x)+lnc => lnv=lnc/x => v=c/x.
Находите далее u.
Nat111
Сообщение
#28678 13.2.2009, 20:32
U находим из этого уравнения:
u'v=-1/(x)^2
тогда следует что это уравнение должны разделить на V чтобы избавится в левой части от V.
получается:
u'=1/((x)^2v)
так?
tig81
Сообщение
#28680 13.2.2009, 20:38
Цитата(Nat111 @ 13.2.2009, 22:32)

U находим из этого уравнения:
u'v=-1/(x)^2
тогда следует что это уравнение должны разделить на V чтобы избавится в левой части от V.
получается:
u'=1/((x)^2v)
так?

так, но выше было найдено, что
Цитата
v=c/x.
Подставляйте и разделяйте переменные.
Nat111
Сообщение
#28682 13.2.2009, 20:44
в уравнение:
u'=1/(x^2*v)
подставляем v=c/x
получаем:
u'=1/(x^2*(с/х))
а как разделить?
tig81
Сообщение
#28683 13.2.2009, 20:53
Цитата(Nat111 @ 13.2.2009, 22:44)

в уравнение:
u'=1/(x^2*v)
подставляем v=c/x
получаем:u'=1/(x^2*(с/х))
а как разделить?
u'=du/dx, в правой части преобразовываем:
1/(x^2*(с/х))=1/(сх).
Nat111
Сообщение
#28684 13.2.2009, 21:07
Цитата(tig81 @ 13.2.2009, 20:53)

u'=du/dx, в правой части преобразовываем:
1/(x^2*(с/х))=1/(сх).
du/dx=1/(сх)
так что ли?
tig81
Сообщение
#28685 13.2.2009, 21:42
Цитата(Nat111 @ 13.2.2009, 23:07)

du/dx=1/(сх)
так что ли?

ну конечно. Разделяйте теперь переменные.
Nat111
Сообщение
#28690 14.2.2009, 5:23
Цитата(tig81 @ 13.2.2009, 21:42)

ну конечно. Разделяйте теперь переменные.
для этого надо чтобы в левой части осталось U, а в правой Х?
тогда получаем
du=(1/(cx)/dx
du=ln(x)dx+c
правильно?
tig81
Сообщение
#28692 14.2.2009, 6:49
Цитата(Nat111 @ 14.2.2009, 7:23)

для этого надо чтобы в левой части осталось U, а в правой Х?
Цитата
тогда получаем
du=(1/(cx)/dx
почему dx в знаменателе?
Должно получиться следущее: du=dx/(cx)
Цитата
du=ln(x)dx+c
это что такое?
Интегрируем левую и правую часть полученного равенства:
intdu=intdx/(cx)
...
Nat111
Сообщение
#28758 15.2.2009, 8:29
Цитата(tig81 @ 14.2.2009, 6:49)

Интегрируем левую и правую часть полученного равенства:
intdu=intdx/(cx)
...
получается:
u+c=-ln(cx)
u=-ln(cx)-c
так?
tig81
Сообщение
#28759 15.2.2009, 8:36
Цитата(Nat111 @ 15.2.2009, 10:29)

получается:
u+c=-ln(cx)
u=-ln(cx)-c
intdu=intdx/(cx)
u=(1/c)int(dx/x)=(1/c)*lnx+c1
Nat111
Сообщение
#28760 15.2.2009, 8:46
опять не правильно
мы кажется минусы пропустили?
Цитата(tig81 @ 15.2.2009, 8:36)

intdu=-intdx/(cx)
u=-(1/c)int(dx/x)=-(1/c)*lnx+c1
теперь находим уравнение для общего решения?
куда u и v подставляем в формулу y=uv?
tig81
Сообщение
#28762 15.2.2009, 9:48
Цитата(Nat111 @ 15.2.2009, 10:46)

мы кажется минусы пропустили?
кажется да...
Цитата
куда u и v подставляем в формулу y=uv?
да, теерь находите у, зная u и v.
Nat111
Сообщение
#28763 15.2.2009, 9:53
я сейчас просматривала полностью решение и кажется что мы еще вот здесь пропустили минус.
v=c/x
должно быть v=-c/x
тогда u у нас получается со знаком "+"
tig81
Сообщение
#28764 15.2.2009, 9:57
Цитата(Nat111 @ 15.2.2009, 11:53)

я сейчас просматривала полностью решение и кажется что мы еще вот здесь пропустили минус.
v=c/x
должно быть v=-c/x
тогда u у нас получается со знаком "+"

возможно... Найдите у и сделайте проверку, подставив его в заданное дифференциальное уравнение. Также аккуратно еще раз выпишите все решение (т.к. мы его записывали кусками и могли что-то потерять).
Nat111
Сообщение
#28765 15.2.2009, 10:24
Цитата(tig81 @ 15.2.2009, 9:48)

находите у, зная u и v.
где
u=(1/c)*ln(x)+c1
v=-(c/x)
подставляем
y=((1/c)*ln(x)+c1)*(-(c/x))
раскрываем скобки
y=(((1/c)*ln(x))*(-(c/x)))+(c1*(-(c/x)))
в первой скобке получилось
(((1/c)*ln(x))*(-(c/x)))=-((1/x)*ln(x))
а во второй что получится?
между двумя скобками будет знак "-".
tig81
Сообщение
#28766 15.2.2009, 10:27
Цитата(Nat111 @ 15.2.2009, 12:24)

(((1/c)*ln(x))*(-(c/x)))=-((1/x)*ln(x))
т.е. -lnx/x
Цитата
а во второй что получится?
c1*(-c/x)=-(c1*c)/x=-c2/x, где с2=с1*с.
Nat111
Сообщение
#28768 15.2.2009, 10:48
в общем "общее решение дифференциального уравнения" получается
y=-((lnx/x)-(c2/x)).
а вот проверку делать найденный у подставлять в самое первоначальное уравнение ((x^2)*y'+xy+1=0)?
или в то уравнение (y'+(y/x)+(1/(x^2))=0) которое получилось когда первоначальное поделили на (x^2)?
я вас уже наверно замучила...
Тролль
Сообщение
#28771 15.2.2009, 12:16
Это одно и того же уравнение. Вообще подставлять лучше всего в исходное уравнение.
Nat111
Сообщение
#28772 15.2.2009, 12:25
в исходное уравнение (x^2)y'+xy+1=0 подставила y=-((ln(x)/x)-(c2/x)).
получилось
(x^2)*(-((ln(x)/x)-(c2/x)))'+x*(-((ln(x)/x)-(c2/x)))+1=0
как вычислить вот эту производную (-((ln(x)/x)-(c2/x)))'=...?
tig81
Сообщение
#28774 15.2.2009, 12:50
Цитата(Nat111 @ 15.2.2009, 14:25)

как вычислить вот эту производную (-((ln(x)/x)-(c2/x)))'=...?
исолзуя правила дифференцирования:
(u-v)'=u'-v'
(u/v)'=(u'v-uv')/v^2
(cu)'=c*u'
ПРИМЕРЫ
Nat111
Сообщение
#28775 15.2.2009, 13:14
Цитата(tig81 @ 15.2.2009, 12:50)

исолзуя правила дифференцирования:
(u-v)'=u'-v'
(u/v)'=(u'v-uv')/v^2
(cu)'=c*u'
ПРИМЕРЫу меня получилось:
первое правило:
-(ln(x)/x)'-(c2/x)
второе правило:
-(((ln(x))'*x-ln(x)*(x)')/(x^2))
третье правило что-то не поняла (примеры смотрела)...
tig81
Сообщение
#28776 15.2.2009, 13:22
(-ln(x)/x-c2/x)'=-(ln(x)/x)'-(c2/x)'
Первое слагаемое по правилу (u/v)'=(u'v-uv')/v^2. Записуйте, чему в вашем случае равно u, чему v, подставляйте в формулу и находите производные.
Второе слагаемое: (c2/x)'=с2(1/х)'=c2*(x^(-1))'=...
Далее смотрите таблицу производных.
Nat111
Сообщение
#28781 15.2.2009, 14:02
Цитата(tig81 @ 15.2.2009, 13:22)

(-ln(x)/x-c2/x)'=-(ln(x)/x)'-(c2/x)'
Первое слагаемое по правилу (u/v)'=(u'v-uv')/v^2. Записуйте, чему в вашем случае равно u, чему v, подставляйте в формулу и находите производные.
в моем случае u=ln(x)
v=x
подставляю -(ln(x)'*x-ln(x)*(x)')/x^2=-((1/x)*x-ln(x)*1)=-(1-ln(x))/x^2
правильно?
Цитата(tig81 @ 15.2.2009, 13:22)

(-ln(x)/x-c2/x)'=-(ln(x)/x)'-(c2/x)'
Второе слагаемое: (c2/x)'=с2(1/х)'=c2*(x^(-1))'=...
Далее смотрите таблицу производных.
(c2/x)'=с2(1/х)'=c2*(x^(-1))'=...с2*(-1*(x^(-1-1))*(x)'=-c2*(x^(-2))
правильно?
в итоге получаем (-((ln(x)/x)-(c2/x)))'=-(((1-ln(x))/x^2)-(-c2*(x^(-2))))
верно или нет?
tig81
Сообщение
#28785 15.2.2009, 14:34
Цитата(Nat111 @ 15.2.2009, 16:02)

в моем случае u=ln(x), v=x
верно
Цитата
подставляю -(ln(x)'*x-ln(x)*(x)')/x^2=-((1/x)*x-ln(x)*1)
/x^2=-(1-ln(x))/x^2 правильно?
похоже на правду, только после первого равно знаменатель потеряли
Цитата
(c2/x)'=с2(1/х)'=c2*(x^(-1))'=...с2*(-1*(x^(-1-1))*(x)'=-c2*(x^(-2))
правильно?
и теперь делаем, чтобы степень была положительной, т.е. -c2*(x^(-2))=-с2/x^2
Nat111
Сообщение
#28788 15.2.2009, 14:46
Цитата(Nat111 @ 15.2.2009, 12:25)

проверка:
в исходное уравнение (x^2)y'+xy+1=0 подставила y=-((ln(x)/x)-(c2/x)).
получилось
(x^2)*(-((ln(x)/x)-(c2/x)))'+x*(-((ln(x)/x)-(c2/x)))+1=0
как вычислить вот эту производную (-((ln(x)/x)-(c2/x)))'=...?
вычислили производную (-((ln(x)/x)-(c2/x)))'=-(1-ln(x))/x^2-(-(c^2/x^2))=-(1-ln(x))/x^2+(c^2/x^2)
Цитата(Nat111 @ 15.2.2009, 12:25)

в исходное уравнение (x^2)y'+xy+1=0 подставила y=-((ln(x)/x)-(c2/x)).
получилось
(x^2)*(-((ln(x)/x)-(c2/x)))'+x*(-((ln(x)/x)-(c2/x)))+1=0
после вычисления производной получилось:
(x^2)*(-(1-ln(x))/x^2+(c^2/x^2))+x*(-((ln(x)/x)-(c2/x)))+1=0
а дальше что делать? скобки раскрывать?
Это текстовая версия — только основной контент. Для просмотра полной версии этой страницы, пожалуйста,
нажмите сюда.