Цитата(V.V. @ 16.2.2009, 10:51)

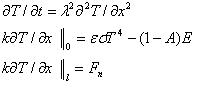
Ну, например, явная схема
(T_i^{j+1}-T_i^j)/tau=(T_{i+1}^j-2T_i^j+T_{i-1}^j)/h^2
(T_1^j-T_0^j)/h=sigma*(T_0^j)^4+...
(T_n^j-T_{n-1}^j)=...
Начальное условие бы хорошо еще где-нибудь раздобыть
T_i^0=...
Начальное условие поризвольное: T(x,0) = 100 например. Потом в процессе вычмслеия влияние этого условия должно исчезнуть. Я делаю по неявной схеме, но проблема у меня в граничном условии: как получить выражеие типа T0^j=A*T0^{j+1}+B для того чтобы в расчет методом прогонки вставить.
Для этого нужно решить уравнение 4 степени? Я в процессе, но там такие выражения! Может как-то иначе можно?