Wave
Сообщение
#27443 26.1.2009, 13:10
с помощью двойного интеграла вычислсть объ1м тела (V), ограниченного данными поверхностями.
y=6*(6x)^1/2, y=21*(6x)^1/2, y=0, z=0, 3x+16z=8
рисунок получился на половину:
Нажмите для просмотра прикрепленного файлаи как начать не знаю.
Ярослав_
Сообщение
#27458 26.1.2009, 17:43
Цитата(Wave @ 26.1.2009, 16:10)

с помощью двойного интеграла вычислсть объ1м тела (V), ограниченного данными поверхностями.
y=6*(6x)^1/2, y=21*(6x)^1/2,
y=0, z=0, 3x+16z=8
рисунок получился на половину
и как начать не знаю.

Может быть не y=0, а х=0 все - таки?
Какие пределы получились?
Wave
Сообщение
#27459 26.1.2009, 17:46
по заданию y=0
Ярослав_
Сообщение
#27461 26.1.2009, 18:14
Тогда, вот эта кривая y=6*(6x)^1/2, совсем лишняя.
Wave
Сообщение
#27463 26.1.2009, 18:48
хм а такое может быть?
Ярослав_
Сообщение
#27465 26.1.2009, 18:57
Если опечатались, то да. У Вас в принципе все пределы уже даны, осталось с иксами определится, расставляйте пределы и считайте.
В помощь, такая чудо - картинка.
Wave
Сообщение
#27467 26.1.2009, 19:20
получится фигура пределы которой y=6*(6x)^1/2, y=21*(6x)^1/2, y=0 и x=8/3 ?
Ярослав_
Сообщение
#27468 26.1.2009, 19:30
Цитата(Wave @ 26.1.2009, 22:20)

получится фигура пределы которой y=6*(6x)^1/2, y=21*(6x)^1/2, y=0 и x=8/3 ?
Если у=0 присутствуют, то y=6*(6x)^1/2 не нужно, это лишнее.
А по икс с моим сошлось.
Но мне кажется, что это опечатка. В любом случае решать Вам.
Wave
Сообщение
#27470 26.1.2009, 19:48
подскажите как дальше действоввать
Ярослав_
Сообщение
#27472 26.1.2009, 20:03
Составляете двойной интеграл, расставляете пределы и считаете.
Wave
Сообщение
#27627 28.1.2009, 16:47
а красная плоскость это 3x+16z=8?
Ярослав_
Сообщение
#27628 28.1.2009, 16:58
Цитата(Wave @ 28.1.2009, 19:47)

а красная плоскость это 3x+16z=8?
Да. Лучше её так записать 3x+16z=8 => z=(1/2)-(3/16)*x Это верхний предел по z.
Wave
Сообщение
#27630 28.1.2009, 17:43
Цитата(Ярослав_ @ 28.1.2009, 22:58)

Да. Лучше её так записать 3x+16z=8 => z=(1/2)-(3/16)*x Это верхний предел по z.
а интеграл такой получается:
Нажмите для просмотра прикрепленного файлаа нижний по y :6*(6x)^1/2
Ярослав_
Сообщение
#27635 28.1.2009, 18:27
Правильно, при условии, что y=0.
А кривая y=6*(6x)^1/2 тогда не нужна, зачем тогда её дали в условии, я все-таки склоняюсь, что у=0 это опечатка.
Wave
Сообщение
#27646 28.1.2009, 19:19
если y=0 это опечатка то 0 заменяем на y =6*(6x)^1/2. я так понимаю?
Ярослав_
Сообщение
#27650 28.1.2009, 19:25
Ну да, я лично так считаю.
Wave
Сообщение
#27652 28.1.2009, 19:28
и тогда получится 15*6^0,5?
Ярослав_
Сообщение
#27723 28.1.2009, 23:21
Цитата(Wave @ 28.1.2009, 22:28)

и тогда получится 15*6^0,5?
У меня другой ответ вышел.
Wave
Сообщение
#28458 10.2.2009, 10:41
Цитата(Ярослав_ @ 29.1.2009, 5:21)

У меня другой ответ вышел.
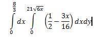
а теперь 0 получился!:
Нажмите для просмотра прикрепленного файла
Wave
Сообщение
#31278 18.3.2009, 7:57
Так может тут 0 быть или нет? скажите пожалуйста что у вас получилось!
Это текстовая версия — только основной контент. Для просмотра полной версии этой страницы, пожалуйста,
нажмите сюда.