Здравствуйте, не уверена, что в эту тему, но напишу сюда, если что, переместите в пределы
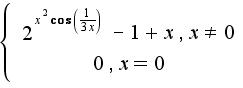
помогите досчитать производную, мне нужно вычислить производную по определению
Нажмите для просмотра прикрепленного файла
начала так:
Нажмите для просмотра прикрепленного файла
помогите правильно досчитать
