Помощь - Поиск - Пользователи - Календарь
Полная версия: система дифференциальных уравнений > Дифференциальные уравнения
Образовательный студенческий форум > Высшая математика > Дифференциальные уравнения
Wave
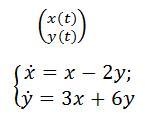
задача такая: найти общее решениеНажмите для просмотра прикрепленного файла системы дифференциальных уравнений.
у меня вопрос такой самый первый что обозначают точки над x и y, весь учебник просмотрела ни где нет такого.?
Тролль
Это производные.
Wave
как x'?
Wave
x=C_1 *e^3t +C_2 *e^4t;
y=-1*C_1 *e^3t -1.5*C_2 *e^4t;
так?
Тролль
Да, так.
Wave
а общее как представить? или эти 2 выражения и есть общее решение?

ввиде системы этих 2 выражений
Тролль
Это и есть общее решение.
Wave
так это всё???
tig81
да
Это текстовая версия — только основной контент. Для просмотра полной версии этой страницы, пожалуйста, нажмите сюда.
Русская версия Invision Power Board © 2001-2026 Invision Power Services, Inc.