Помощь - Поиск - Пользователи - Календарь
Полная версия: Точки разрыва и их характер > Графики (исследование функций)
Образовательный студенческий форум > Высшая математика > Графики (исследование функций)
havoc
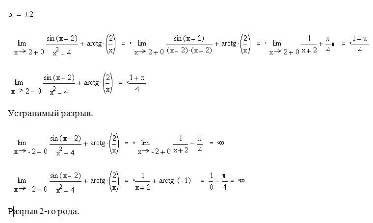
Помогите найти точки разрыва и исследовать их характер для функции:
Нажмите для просмотра прикрепленного файла
havoc
Цитата(havoc @ 21.12.2008, 19:50) *

Помогите найти точки разрыва и исследовать их характер для функции:
Нажмите для просмотра прикрепленного файла



Правильно? Или не все?
Нажмите для просмотра прикрепленного файла
tig81
Похоже на правду
havoc
Цитата(tig81 @ 23.12.2008, 20:07) *

Похоже на правду


А надо ли исследовать при х=0? Если да, то что там получается?
граф Монте-Кристо
Надо.К чему стремится арктангенс при стремлении его аргумента к +/- бесконечности?
havoc
Цитата(граф Монте-Кристо @ 26.12.2008, 18:18) *

Надо.К чему стремится арктангенс при стремлении его аргумента к +/- бесконечности?


П/2 и -П/2 rolleyes.gif
tig81
Цитата(havoc @ 27.12.2008, 12:12) *

П/2 и -П/2 rolleyes.gif

неверно, как считали? У вас же аргумент 2/х, а не х.
havoc
Цитата(tig81 @ 27.12.2008, 10:33) *

неверно, как считали? У вас же аргумент 2/х, а не х.


Подскажи как получается?
tig81
Цитата(havoc @ 28.12.2008, 14:41) *

Подскажи как получается?

Подумайте, чему равен lim(x->00)(2/x)? Константа деленная на бесконечно большую функцию.
havoc
Цитата(tig81 @ 28.12.2008, 12:50) *

Подумайте, чему равен lim(x->00)(2/x)? Константа деленная на бесконечно большую функцию.


Поидее, равно нулю? Т.е. при х->0 остается просчитать к чему синус стремится? А он получается у нас (sin2)/4?
tig81
Цитата(havoc @ 28.12.2008, 16:11) *

Поидее, равно нулю?

да. arctg0=...


ой, только я вас, кажется, увела от правильного решения. Я чего-то пределы на бесконечности искала, а надо-то было в 0. blush.gif Вы там где-то ниже про П/2 и -П/2 писали.
Это текстовая версия — только основной контент. Для просмотра полной версии этой страницы, пожалуйста, нажмите сюда.
Русская версия Invision Power Board © 2001-2026 Invision Power Services, Inc.