Цитата(tig81 @ 4.12.2008, 21:46)

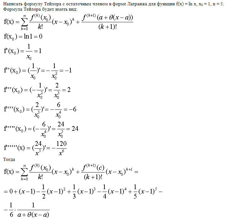
1. Сначала лучше находите производные в произвольной точке, а затем уже поставляйте заданную, т.е.
f'(x), а затем f'(x0).
2. Производные порядка 4 и выше обозначаются римскими числами, а не штрихами.
3. Когда подставляли в формулу, делили на 1, 2, 3,... а на до было, на 2!, 3!...
4. Остаточный член - это 6-я производная, она у вас получилась равной -120/х^6. А когда находили ее в точке (a+teta(x-a)), коэффициент и степень где-то потерялись.
1) Писал x0 для сокращения. Сути в данном случае это не меняет. Переменные можно называть как угодно.
2) Спасибо, исправлю.
3) Делил как раз на факториалы: 4-я производная в точке x0=1 равна -6. -6/(4!)=-6/24=-1/4. То же самое и с остальными. Просто для сокращения так писал.
4) коэффициент сократился: 120/(6!)=120/720=1/6. А степень, действительно, действительно, потерял. Спасибо, исправлю