Помощь - Поиск - Пользователи - Календарь
Полная версия: y''+4y=cosx, y(0)=-1, y'(0)=1 > Дифференциальные уравнения
Образовательный студенческий форум > Высшая математика > Дифференциальные уравнения
Wave
y''+4y=cosx, y(0)=-1, y'(0)=1
Yoo=C1cos2x+C2sin2x
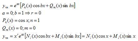
а потом:Нажмите для просмотра прикрепленного файла а дальше не знаю... blush.gif
Тролль
у_ч = A * sin x + B * cos x
Это текстовая версия — только основной контент. Для просмотра полной версии этой страницы, пожалуйста, нажмите сюда.
Русская версия Invision Power Board © 2001-2026 Invision Power Services, Inc.