Помощь
-
Поиск
-
Пользователи
-
Календарь
Полная версия:
Радикальный признак Коши для степенного ряда > Ряды
Образовательный студенческий форум
>
Высшая математика
>
Ряды
DimaESP
Сообщение
#21234
11.11.2008, 17:30
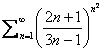
Возможно ли применение Радикального признака Коши для степенного ряда
Нажмите для просмотра прикрепленного файла
следующим образом
Нажмите для просмотра прикрепленного файла
?
Руководитель проекта
Сообщение
#21247
11.11.2008, 18:25
Да.
Это текстовая версия — только основной контент. Для просмотра полной версии этой страницы, пожалуйста,
нажмите сюда
.
Русская версия Invision Power Board © 2001-2026
Invision Power Services, Inc.