здравствуйте, подскажите как дальше?
нужно решить д.у.Нажмите для просмотра прикрепленного файла
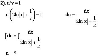
делаю замену y=uv, y'=u'v+uv'
нахожу v=2ln|x|+1/x
а с нахождением u проблемы, а именно:
Нажмите для просмотра прикрепленного файла
как взять этот интеграл? кто знает, помогите
