Помощь
-
Поиск
-
Пользователи
-
Календарь
Полная версия:
Замена переменных в уравнении с частными производными > Дифференциальные уравнения
Образовательный студенческий форум
>
Высшая математика
>
Дифференциальные уравнения
RedNastenka
Сообщение
#16965
25.6.2008, 14:11
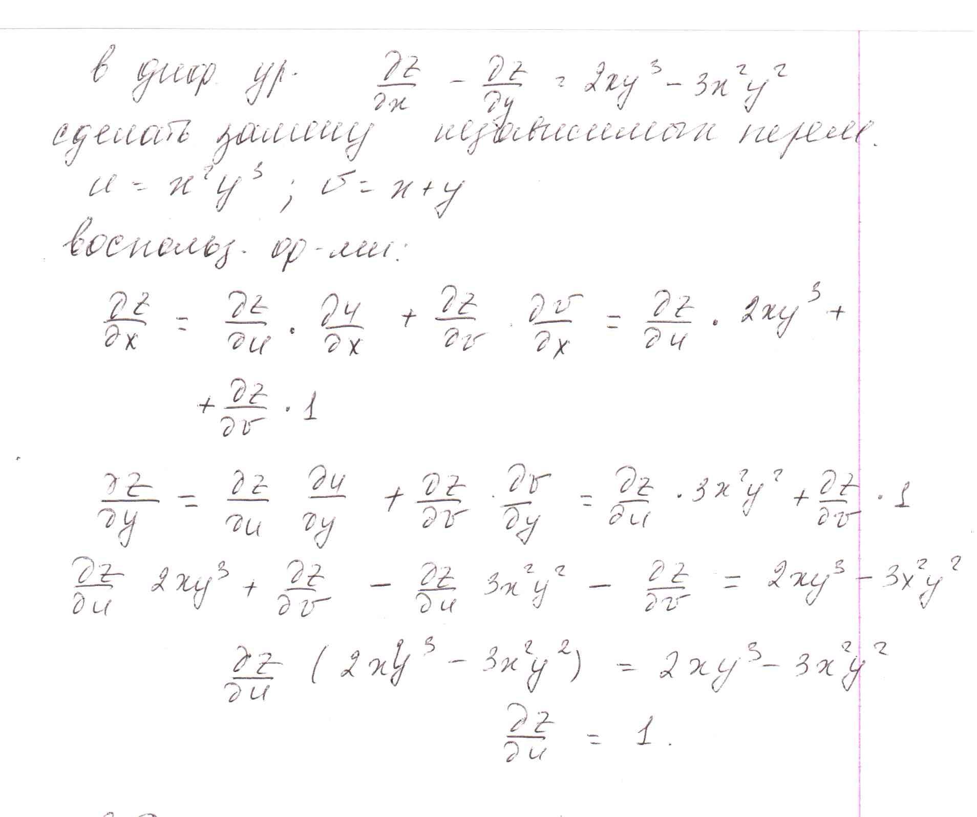
Здравствуйте, проверьте, пожалуйста:
Нажмите для просмотра прикрепленного файла
спасибо
Руководитель проекта
Сообщение
#16968
25.6.2008, 15:12
Правильно.
Это текстовая версия — только основной контент. Для просмотра полной версии этой страницы, пожалуйста,
нажмите сюда
.
Русская версия Invision Power Board © 2001-2026
Invision Power Services, Inc.