Помощь - Поиск - Пользователи - Календарь
Полная версия: Сходимость,расходимость > Ряды
Образовательный студенческий форум > Высшая математика > Ряды
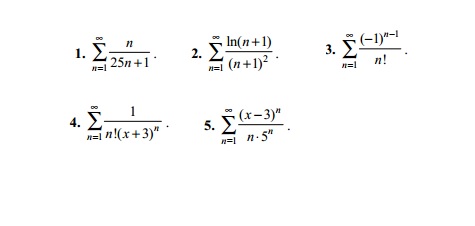
Riven
Нажмите для просмотра прикрепленного файла
Если есть у кого-нибудь решения, буду очень благодарен)
venja
Решения есть в учебниках и руководствах по решению задач.
Это текстовая версия — только основной контент. Для просмотра полной версии этой страницы, пожалуйста, нажмите сюда.
Русская версия Invision Power Board © 2001-2026 Invision Power Services, Inc.