Помощь - Поиск - Пользователи - Календарь
Полная версия: Решение пределов БЕЗ использования правила Лопиталя > Пределы
Образовательный студенческий форум > Высшая математика > Пределы
DEMAN-uga
Здравствуйте, помоги пожалуйста вычислить пределы БЕЗ использования правила Лопиталя.
половину решил из задания половину не могу победить. Желательно подробное решение, чтобы я сам смог разобраться. Заранее спасибо
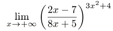
Нажмите для просмотра прикрепленного файла
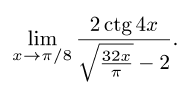
Нажмите для просмотра прикрепленного файла
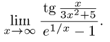
Нажмите для просмотра прикрепленного файла
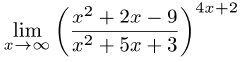
Нажмите для просмотра прикрепленного файла
Нажмите для просмотра прикрепленного файла
venja
В первом разность логарифмов - в логарифм частного и замена бесконечно малых на эквивалентные. В четвертом неопределенности вообще нет.
Это текстовая версия — только основной контент. Для просмотра полной версии этой страницы, пожалуйста, нажмите сюда.
Русская версия Invision Power Board © 2001-2026 Invision Power Services, Inc.