Помощь - Поиск - Пользователи - Календарь
Полная версия: lim(x->0)((1+x)^(1/3)-(1-x)^(1/3))/(3x) > Пределы
Образовательный студенческий форум > Высшая математика > Пределы
utro!
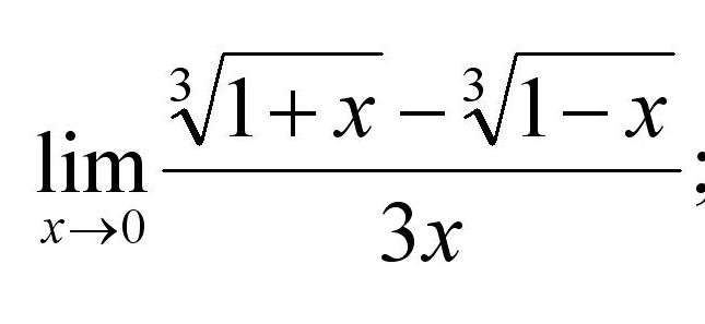
Нажмите для просмотра прикрепленного файла Помогите пожалуста нати предел функции, а то я чего то уже плохо соображаю
Black Ghost
Домножить числитель и знаменатель на
(1+x)^2/3 + (1+x)^1/3 * (1-x)^ 1/3 + (1-x)^2/3

В итоге в числителе получится разность кубов [(1+x)^1/3 ]^3 - [(1-x)^1/3 ]^3 = 1+x - (1-x) = 2x

x в числителе и знаменателе сократится и тогда можно будет подставить x=0
utro!
Спасибо Вам большое!!!
Это текстовая версия — только основной контент. Для просмотра полной версии этой страницы, пожалуйста, нажмите сюда.
Русская версия Invision Power Board © 2001-2026 Invision Power Services, Inc.