Помогите пожалуйста решить задачи:
Задача №1:
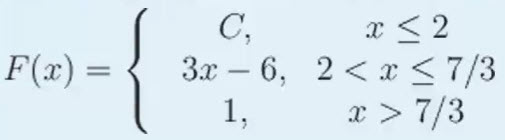
Непрерывная случайная величина Х задана интегральной функцией распределения вероятностей
Нажмите для просмотра прикрепленного файла
Тогда значения С и а равны …
Задача №2:
Непрерывная случайная величина Х задана дифференциальной функцией распределения вероятностей
Нажмите для просмотра прикрепленного файла
Тогда значение С равно …
Задача №3:
Непрерывная случайная величина Х задана интегральной функцией распределения вероятностей
Нажмите для просмотра прикрепленного файла
Тогда значения С и а равны …
