Помощь - Поиск - Пользователи - Календарь
Полная версия: Помогите с решением > Дифференциальные уравнения
Образовательный студенческий форум > Высшая математика > Дифференциальные уравнения
UpimaNko
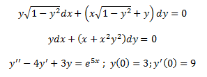
Не отказался бы от помощи в решении хоть какого-нибудь из следующих уравнений:
Нажмите для просмотра прикрепленного файла
tig81
в чем возникли трудности? Выкладывайте свои наработки, попытки решения.
mad_math
Превое будет линейным первой степени, если привести его к виду dx/dy+f(y)*x=g(y).
Во втором можно найти интегрирующий множитель.
Третье стандартное линейное второй степени.
Это текстовая версия — только основной контент. Для просмотра полной версии этой страницы, пожалуйста, нажмите сюда.
Русская версия Invision Power Board © 2001-2026 Invision Power Services, Inc.