Помогите решить задание:
Найти площадь фигуры, ограниченной линиями y=x^2+2x и y=x+2
Вот что у меня пока вышло:
Решая систему уравнений
y=x^2+2x
y=x+2
находим абсциссы точек пересечения x1 = -2 и x2 = 1
Нажмите для просмотра прикрепленного файла
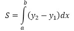
Полагая y2 = x + 2 и y1 = x2 + 2x, на основании формулы Нажмите для просмотра прикрепленного файла получаем:Нажмите для просмотра прикрепленного файла
Решая дальше у меня получается -15/2 но площадь ведь не может быть отрицательной. Где я ошибся?
