Помощь
-
Поиск
-
Пользователи
-
Календарь
Полная версия:
помогите пожалуйста решить пределы > Пределы
Образовательный студенческий форум
>
Высшая математика
>
Пределы
Kris
Сообщение
#88166
21.4.2013, 8:38
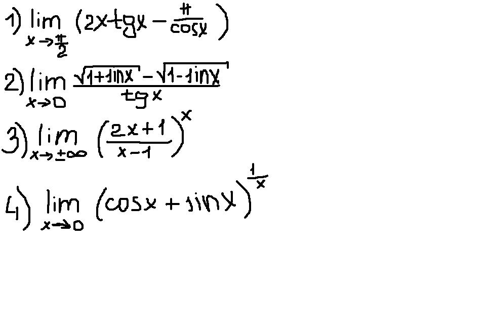
помогите пожалуйста решить пределы
Нажмите для просмотра прикрепленного файла
tig81
Сообщение
#88167
21.4.2013, 9:24
Правила форума
Что делали? Что не получается?
Выкладывайте свои наработки. Начните с выяснения типа неопределенности
Это текстовая версия — только основной контент. Для просмотра полной версии этой страницы, пожалуйста,
нажмите сюда
.
Русская версия Invision Power Board © 2001-2026
Invision Power Services, Inc.