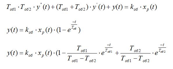
Имеем ДУ второго порядка с постоянными коэффициентами. Следовательно необходимо найти сумму общего и частного решения которую в дальнейшем сможем использовать для анализа процессов в объекте регулирования. В учебном пособии дано начальное уравнение и сразу приведено его решение. Меня же интересует весь процесс вывода конечного результата. Понятно, что при данном типе ДУ последовательность следующая:
1. Находим общее решение путем составления характеристического уравнения и нахождения его корней. Уравнение приведено в общем виде, значит
корни точно определить не можем, какой вид тогда будет иметь общее решение?
2. Частное решение зависит от того какой вид имеет функция, в нашем случае это 1-й специальный вид. Но как его находить в общем виде не понятно.
Вообщем если можно поподробнее объясните решение данного уравнения. Заранее благодарен!!!Нажмите для просмотра прикрепленного файла
