

Мои ответы:
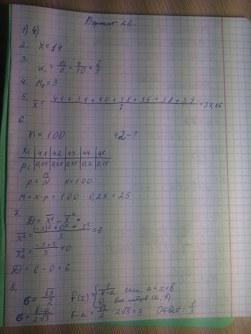
1) 4
2) x=14
3) w=4/10=2/5
4) M0=3
5) x=(41+34+40+38+35+38+39)/7=37,86
6) p=M/N; M=N*p=100*0,25=25
7) D=6
8) σ=(b-a)/2 корень из 3; f(x)={ 1/(b-a) если a<x<b |=> 1/(b-a)=1/3
9) D=10
10) xв=22
11) 1
12) 1
13) r=bxy*(σx/σy); bxy=b1=0,8; r=0,8*(2/3,2)=1/2
14) Me=(0+1)/2=1/2
15) 1
Прошу вас проверить и направить на истинный путь. Буду также признателен за пояснение ошибок
P S: Простите что присылаю в виде фотографий - просто вписывать сюда все довольно тяжело и долго, так что не обессудьте..