Помощь
-
Поиск
-
Пользователи
-
Календарь
Полная версия:
Наибольшее и наименьшее значение функции > Дифференцирование (производные)
Образовательный студенческий форум
>
Высшая математика
>
Дифференцирование (производные)
skate
Сообщение
#86696
10.12.2012, 19:16
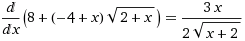
Найти на отрезке [-1;7] наибольшее и наименьшее значения функции y=x-4*(корень из (x+2))+8.
Я не знаю, верно ли я нашел производную
Нажмите для просмотра прикрепленного файла
Dimka
Сообщение
#86697
10.12.2012, 19:25
правильно
skate
Сообщение
#86701
10.12.2012, 19:42
Почему же у меня ничего не получается, когда я вместо x начинаю подставлять значения? С ответом не сходится.
Dimka
Сообщение
#86703
10.12.2012, 19:45
может ответ неправильный. Постройте график и посмотрите
skate
Сообщение
#86706
10.12.2012, 20:33
Помогите ОДЗ найти, пожалуйста, а то не получается
tig81
Сообщение
#86707
10.12.2012, 20:35
подкоренное выражение больше равно 0
skate
Сообщение
#86708
10.12.2012, 20:37
Спасибо. Я решил. С ответом сошлось. Оказывается производную искать не нужно было.
tig81
Сообщение
#86709
10.12.2012, 20:41
Цитата(skate @ 10.12.2012, 22:37)
Спасибо. Я решил. С ответом сошлось. Оказывается производную искать не нужно было.
Для ОДЗ не нужно, для наибольшего и наименьшего значения на отрезке нужно
Это текстовая версия — только основной контент. Для просмотра полной версии этой страницы, пожалуйста,
нажмите сюда
.
Русская версия Invision Power Board © 2001-2026
Invision Power Services, Inc.