Помощь - Поиск - Пользователи - Календарь
Полная версия: интегралы > Интегралы
Образовательный студенческий форум > Высшая математика > Интегралы
Azart11
срочно нужно помогите плиз расписать вот, что ток у меня получилось:
1)Нажмите для просмотра прикрепленного файла

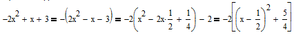
Расписал знаменатель:
Нажмите для просмотра прикрепленного файла

2)Нажмите для просмотра прикрепленного файла
tig81
1. Посмотрите интегрирование дробно-рациональных выражений, например в Каплане )ссылка есть в прикрепленной теме раздела(, там все хорошо расписано
2. Метод замены
Это текстовая версия — только основной контент. Для просмотра полной версии этой страницы, пожалуйста, нажмите сюда.
Русская версия Invision Power Board © 2001-2026 Invision Power Services, Inc.