Цитата(Dimka @ 18.9.2012, 11:12)

Вот разложение для cos(x^2)
1-(1/2)*x^4+(1/24)*x^8-(1/720)*x^12...
Второе слагаемое - это разве квадратичная функция?
Нет... ф-ия в 8-ой степени. Также можно сказать, что она степенная. Когда я ответил, что второй член разложения степенная ф-ия, то было сказано, что ответ не полный. Так какого ответа от меня ждали?

Вот само разложение:
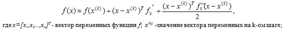
(минимизация ф-ий методом Ньютона)
Нажмите для просмотра прикрепленного файла