Помощь - Поиск - Пользователи - Календарь
Полная версия: Помощь нужна, пожалуйста! > Ряды
Образовательный студенческий форум > Высшая математика > Ряды
RoseD
Нажмите для просмотра прикрепленного файла

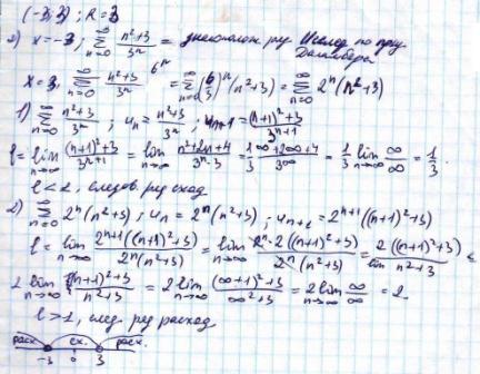
Вот решение, частичное. Посмотрите, пожалуйста!
Нажмите для просмотра прикрепленного файла
venja
Радиус сходимости равен 3.
Предел посчитан неверно.
RoseD
Цитата(venja @ 27.7.2012, 6:21) *

Радиус сходимости равен 3.
Предел посчитан неверно.


Да, извините. Коэффициент же вынести можно было - невнимательность.
Теперь верно?
Нажмите для просмотра прикрепленного файла
venja
Так как ряд с центром в точке (-3), а радиус сходимости равен 3, то
интервал сходимости (-6,0).
RoseD
Цитата(venja @ 27.7.2012, 20:57) *

Так как ряд с центром в точке (-3), а радиус сходимости равен 3, то
интервал сходимости (-6,0).


Почему -3, там же после преобразования lim получается 3 lim ∞/∞ = 3? Нет никакого минуса
venja
При чем здесь предел?
Посмотрите, что называется степенным рядом С ЦЕНТРОМ В ДАННОЙ ТОЧКЕ. И какое число должно находиться в центре интервала сходимости.
Это текстовая версия — только основной контент. Для просмотра полной версии этой страницы, пожалуйста, нажмите сюда.
Русская версия Invision Power Board © 2001-2026 Invision Power Services, Inc.