Помощь - Поиск - Пользователи - Календарь
Полная версия: sqrt(x)y'+y/sqrt(x)=sqrt(x) > Дифференциальные уравнения
Образовательный студенческий форум > Высшая математика > Дифференциальные уравнения
San-San
Здравствуйте!у меня возникло несколько вопросов насчёт следующих примеров,кому не сложно помогите пожалуйста.
каким способом решаются эти два примера: 1)ln y' = y + ln x 2)(3y-xy^2)dx=xdy
3)(xy' - y)/(x + y)=y/x как я понял это уравнение Бернулли.начал так: y=uv ; (x(u'v+v'u)-uv)/(x+uv)=uv/x а вот дальше туплю...
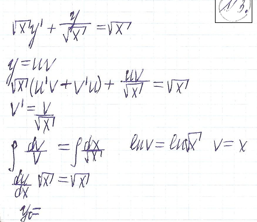
4)в этом примере снова тупик,не знаю как писать y0 (((
Нажмите для просмотра прикрепленного файла
venja
1) Легко приводится к уравнению с разделяющимися переменными
y'=x*e^y
3)однородное уравнение
4) поделите обе части на sqrt(x) - получится линейное уравнение
Руководитель проекта
2) Уравнение Бернулли:
(3y-xy^2)dx=xdy;
3y-xy^2=xdy/dx;
dy/dx-3y/x=-y^2.
Лучше сначала поделить на y^2 обе части уравнения, а затем сделать замену z=1/y.
tig81
ТС, а написать, что вам уже подсказали сложно?
http://www.webmath.ru/forum/index.php?topi...g94366#msg94366
San-San
Спасибо всем!!!
Это текстовая версия — только основной контент. Для просмотра полной версии этой страницы, пожалуйста, нажмите сюда.
Русская версия Invision Power Board © 2001-2026 Invision Power Services, Inc.