Помощь
-
Поиск
-
Пользователи
-
Календарь
Полная версия:
нуждаюсь в вашей помощи > Интегралы
Образовательный студенческий форум
>
Высшая математика
>
Интегралы
Аlinka-mandarinka92
Сообщение
#83979
30.5.2012, 12:42
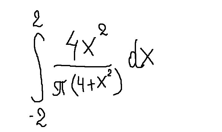
полный ноль в интегралах,поэтому обращаюсь с просьбой помочь решить,буду оч благодарна
Нажмите для просмотра прикрепленного файла
tig81
Сообщение
#83980
30.5.2012, 12:43
а что не получается? Что делали?
Аlinka-mandarinka92
Сообщение
#83983
30.5.2012, 12:58
сначала вынесла 4/пи, затем решала метод замены переменной,но мне сказали что можно проще решить и я в решении намудрила и многое потеряла
вот мое решение:
Нажмите для просмотра прикрепленного файла
tig81
Сообщение
#83985
30.5.2012, 13:04
можно проще:
1. Дробь неправильная, выделить целую часть поделив числитель на знаменатель
2. Или в числителе прибавить и отнять 4
П.С. Еще можно учесть, что подынтегральная функция четная, тогда интеграл будет равен 2*интеграл от 0 до 2
Аlinka-mandarinka92
Сообщение
#83987
30.5.2012, 13:08
Цитата
вот как раз не понимаю
2. Или в числителе прибавить и отнять 4
что это даст?
tig81
Сообщение
#83988
30.5.2012, 13:09
Цитата(Аlinka-mandarinka92 @ 30.5.2012, 16:08)
2. Или в числителе прибавить и отнять 4
что это даст?
сделайте, посмотрите. Не забывайте, что можно почленно делить
Аlinka-mandarinka92
Сообщение
#83989
30.5.2012, 13:10
Цитата
2. Или в числителе прибавить и отнять 4
что это даст?
tig81
Сообщение
#83990
30.5.2012, 13:15
Цитата(Аlinka-mandarinka92 @ 30.5.2012, 16:10)
что это даст?
Цитата
сделайте, посмотрите. Не забывайте, что можно почленно делить
П.С. Не устраивает 2., сделайте 1.
Аlinka-mandarinka92
Сообщение
#83996
30.5.2012, 14:34
не подскажите где ошибка?
Нажмите для просмотра прикрепленного файла
граф Монте-Кристо
Сообщение
#84002
30.5.2012, 15:56
Проверьте подстановку чисел в арктангенс в предпоследней строчке.
Это текстовая версия — только основной контент. Для просмотра полной версии этой страницы, пожалуйста,
нажмите сюда
.
Русская версия Invision Power Board © 2001-2026
Invision Power Services, Inc.