Помощь
-
Поиск
-
Пользователи
-
Календарь
Полная версия:
нужно решить > Дифференцирование (производные)
Образовательный студенческий форум
>
Высшая математика
>
Дифференцирование (производные)
Андр
Сообщение
#81486
26.2.2012, 19:41
tig81
Сообщение
#81487
26.2.2012, 19:42
Что делали? Что не получается?
П.С. Условие нечитабльно.
Андр
Сообщение
#81489
26.2.2012, 20:30
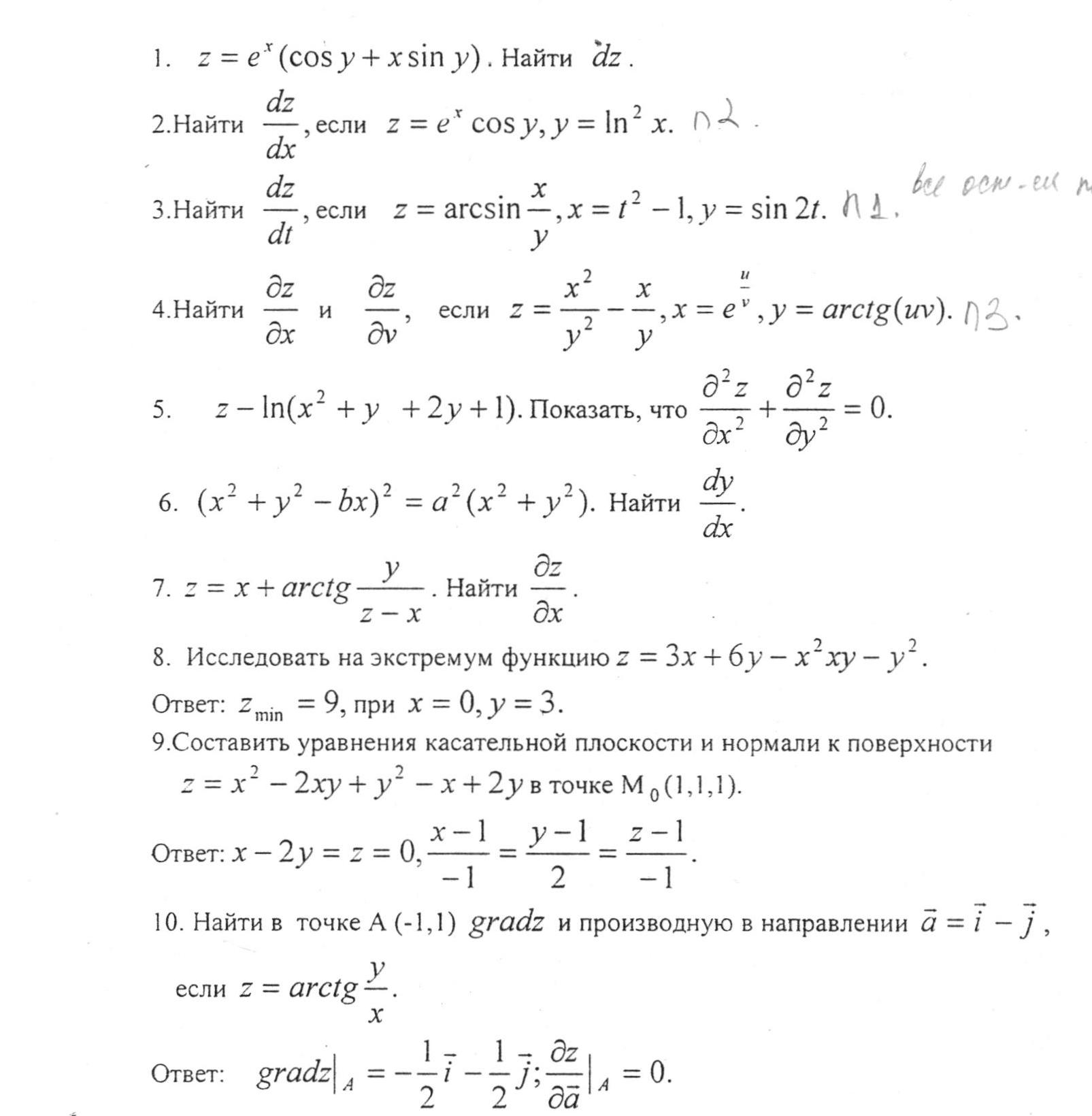
Нажмите для просмотра прикрепленного файла
tig81
Сообщение
#81491
26.2.2012, 20:39
Цитата(tig81 @ 26.2.2012, 21:42)
Что делали? Что не получается?
П.С. Платный раздел немного ниже.
Это текстовая версия — только основной контент. Для просмотра полной версии этой страницы, пожалуйста,
нажмите сюда
.
Русская версия Invision Power Board © 2001-2026
Invision Power Services, Inc.