Помощь - Поиск - Пользователи - Календарь
Полная версия: Нужно решить неопределенный интеграл > Интегралы
Образовательный студенческий форум > Высшая математика > Интегралы
sullen
Доброго времени суток!
Помогите пожалуйста решить и понять пример (необходимо подробное решение):
Нажмите для просмотра прикрепленного файла
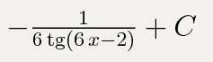
Должен получиться ответ:
Нажмите для просмотра прикрепленного файла
P.S. Всех с днем святого Валентина! smile.gif
граф Монте-Кристо
Замена 6x-2=t.
sullen
Пожалуйста, поподробнее
граф Монте-Кристо
Если возникают такие вопросы, лучше всего будет почитать соответствующий параграф в учебнике.
sullen
Были бы все учебники написаны понятным языком, все студенты бы учились на отлично (кроме ленивых), согласны?
tig81
Не разводим демагогию и не флудим не по теме. Советы даны. Задавайте КОНКРЕТНЫЕ вопросы по теме. Все остальное будет удаляться.

П.С. Но с тезисом не согласна. Но на этом по нему и закончим.
граф Монте-Кристо
Выбирайте учебники, в которых написано понятно, кто Вам мешает?
Это текстовая версия — только основной контент. Для просмотра полной версии этой страницы, пожалуйста, нажмите сюда.
Русская версия Invision Power Board © 2001-2026 Invision Power Services, Inc.