Уважаемые коллеги!
Огромная просьба помочь найти ответ вот на какой вопрос.

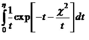
Необходимо получить какое-то аналитическое представление
вот для такого интеграла:

Нажмите для просмотра прикрепленного файла

По идее, оно должно представлять из себя некий ряд из функций Макдональда.

В частности, при бесконечном верхнем пределе интегрирования интеграл "практически"
совпадает с интегральным представлением функции Макдональда нулевого порядка
[Ватсон 6.22].

Также данный интеграл "похож" на incomplete gamma function.

Заранее спасибо всем, кто откликнется smile.gif)