tig81
Сообщение
#77114 24.10.2011, 8:22
1. Каким образом пределы относятся к дифференцированию? Не стоит в одном разделе лепить все свои темя, для пределов есть отдельный раздел.
А. Правильно
Б. 1) Потеряли предел
2) х*3х не равно 4х
3) в знаменателе не 2x^2, а (2x)^2
4) не поняла, почему xtg3x/(3x) стремится к 1
В. а=-1: -3/12 и -1/4 без квадратных скобок
а=2: 1) когда находили корни знаменателя, почему-то написано, что 3 и 1 ,хотя далее 2 используете
а=00: когда 00 подставляете, запись в квадратных скобках
kooonfetkaaa
Сообщение
#77162 25.10.2011, 9:13
ВОТ СЕЙЧАС ПРАВИЛЬНО???
А вот на счет что вы написали в конце (а=00: когда 00 подставляете, запись в квадратных скобках) я не поняла,о чем вы?
tig81
Сообщение
#77186 25.10.2011, 16:38
Цитата(kooonfetkaaa @ 25.10.2011, 12:13)

ВОТ СЕЙЧАС ПРАВИЛЬНО???
б) да
в) а=-1: да
а=2: вроде уже проверяли?
Цитата
А вот на счет что вы написали в конце (а=00: когда 00 подставляете, запись в квадратных скобках) я не поняла,о чем вы?
Выражение берете в квадратные скобки
kooonfetkaaa
Сообщение
#77219 26.10.2011, 11:17
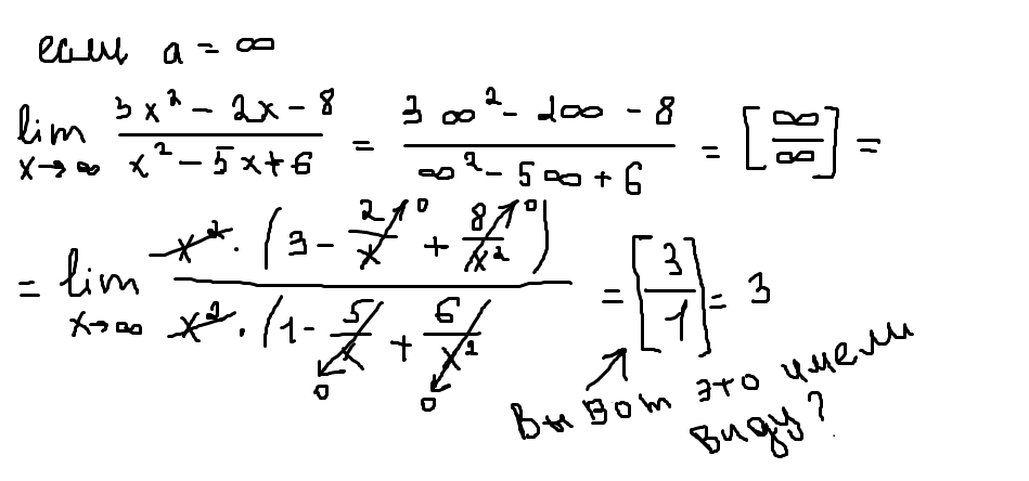
Нажмите для просмотра прикрепленного файла вот так что ли?
Просто я написала так как нам до этого показывали...а вы говорите что надо брать в квадр.скобки...вот я и запуталась((